点击化学试剂BCN-PEG-Maleimide 环丙烷环辛炔聚乙二醇马来酰亚胺的溶解度
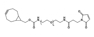
双环[6,1,0]壬炔 (BCN) (环丙烷环辛炔)能够 经过无铜的弹窗催化与叠氮化物标注的原子核式或生物学原子核式化学反应出现比较稳定的三氮唑联接。
产品名称BCN-PEG-Maleimide 环丙烷环辛炔聚乙二醇马来酰亚胺
中文名称环丙烷环辛炔聚乙二醇马来酰亚胺
英文名称BCN-PEG-Maleimide
分子量1000
CASN/A
溶解度DMSO,CHCl3,甲醇
存储条件-20°冷冻
保存时间一年

BCN-PEG-P4VP环丙烷环辛炔-聚乙二醇-聚4-乙烯基吡啶
BCN-PEG-P2VP环丙烷环辛炔-聚乙二醇-聚2-乙烯基吡啶
BCN-PEG-PPS环丙烷环辛炔-聚乙二醇-聚苯硫醚
BCN-PEG-PBA环丙烷环辛炔-聚乙二醇-苯硼酸
BCN-PEG-PAE环丙烷环辛炔-聚乙二醇-聚(β-氨基酯)
BCN-PEG-Polyacetal环丙烷环辛炔-聚乙二醇-聚缩醛
浪漫提醒:想要赚取好厂品适用效用,的原材料应一直以来都在吹干前提条件下始终维持低温制冷的效果,不要长时间解除解封和解封。为有效确保好厂品的安稳性,请留意在恒湿吹干日后才能够拉开彩盒取出!暖心信息提示:仅采用研发!!!工厂:浙江pg电子娱乐游戏app 生态学科技平台十分有限平台

pg电子娱乐游戏app
微信公众号
官方微信