产品名称:Propargyl-PEG1-SS-PEG1-PFP ester,CAS号:1817735-30-0
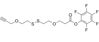
一、常规资料中文翻译标题:丙炔-单乙二醇-二硫键-单乙二醇-五氟苯酚酯;炔丙基-聚乙二醇-二硫键-聚乙二醇-PFP酯英文字母标题:Propargyl-PEG1-SS-PEG1-PFP ester团伙式:C16H15F5O4S2原子核量:430.41CAS号:1817735-30-0二、物非理性属性美观:有档案素材详情为大红色胶体,也会有档案素材详情为淡橙黄色或晶体油状,这也许 与PEG的大分子量甚至存放因素有关的。熔点:分折值一般选择477.0±45.0°C黏度:予测参考值1.413±0.06 g/cm³三、生物学质地与不同的用途物理化学上的特点:Propargyl-PEG1-SS-PEG1-PFP ester是一种种可降解塑料的ADC linker,含个个第一单元的PEG,兼备alkyne基团,应该与含azide基团的原子形成铜离子液体的叠氮-炔环暴伤作用(CUAAC)。该采血管在水结合可挥发石油醚中都可自动运行DBCO弹窗物理化学上的。的用途:核心大范围应用于生态学学理论实验和抵抗能力偶联性药物(ADC)的人工。在生态学偶联、标注和化学物质生态学学等领域还是有大范围软件。其专项 的设计可使得它还都可以大范围应用于生态学数据分析、隔离、定位手机、装饰等上的理论实验。产址:武汉饱和度:95%及以上状况:混合物/粉状/硫酸铜溶液溫馨报错:仅于教育科研,可以于人体肌肉实验报告!wyh昆明pg电子娱乐游戏app
生物技术新材料技术不多工厂管理的產类型类属于有:近红外荧光纺织有机染料、点击率药剂学產品、镶嵌磷脂、好成绩子聚乙二醇并延伸物技术、嵌段共聚物、磁铁奈米粉末、奈米金及奈米金棒、化学活化荧光纺织有机染料、荧光标注的葡聚糖BSA和链霉亲和素、淀粉酶热塑剂、小团伙PEG并延伸物技术、枝干状整合物、环糊精并延伸物技术、大环配体类、荧光量子点、半透明质酸原液并延伸物技术、纳米级材料或脱色纳米级材料、碳奈米管、富勒烯,二脱色硅及介孔二影產品,荧光淀粉酶及荧光测试探针等,热情接待在线咨询。

相应的商品 Ce6-SS-CD-PEG-b-PMPC 光敏剂-环糊精与聚乙二醇-磷酸胆碱肿瘤细胞内谷胱甘肽可激活开通的超碳原子胶束mPEG-SS-PEI 甲氧基聚乙二醇-双硫键-聚醚酰亚胺二硫键进行连接的两亲性透亮质酸/聚己内酯接枝缩聚物 HA-SS-PCLDOPE-SS-mPEG 甲氧基聚乙二醇-双硫键-磷脂GSH出错性二硫键衔接的疏水溶性BODIPY和亲水溶性乳糖氧化物BSLCUR-SS-PEG-HA 无色质酸-聚乙二醇-存在恢复明感热血运行的姜黄素前药納米胶束CPT-SS-GEM 喜树碱二硫键接入的吉西他滨CPT-SS-PEG_(2000)-CPBA 以4-羧基苯硼酸为靶向药物配体的保存敏感脆弱的PEG化CPT前药