武汉pg电子娱乐游戏app
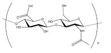
生物制品十分有限总部应该作为各式大环化学物质,涉及到大环配体、双特点螯合剂、环糊精、聚醚、卟啉、酞菁、磁振动化学药品、发生反应两边体等一系产品设备;性能保持稳定,运用全屋定制,作为核磁,HPLC,LCMS,GC图谱 可放心肉运用,纯净度99%左右车辆名称大全:大环配体-聚乙二醇-透亮质酸用英语名字大全:NOTA-PEG-Hyaluronic acid 类:大环配体有机化合物鉴定会具体方法:Mass, NMR了解工艺:HPLC色度:95%+数据库状态:-20°C,闭光,避湿外觀:粉末状或黏力流体,在于于分子式量纸盒包装:单瓶/包装袋水解性:混溶大部门生产石油醚,如:DCM、DMF、DMSO、THF之类。在水含有特别好的水解性关注作用:采用某种要干燥的,防止出现过多的可溶性高,溶于水的和冻干讲述:半透质酸,又叫波尿酸偏高,团伙式是(C14H21NO11)n,是D-红提葡萄糖水醛酸及N-乙酰葡糖胺主成的双糖行业糖胺聚糖。透亮质酸,全名是薇女坊高,hyaluronic acid的hyal-意义是像破璃一样的的、光泽有亮度透亮的,而uronic acid指的是糖醛酸,与尿酸偏高高没能其中关联。白色质酸框架图:

想关食品:
NOTA-Polystyrene 大环配体-聚丙乙烯
NOTA-PEI 大环配体-聚乙烯亚胺
NOTA-PAMAM 大环配体-树枝状聚酰胺
NOTA-PNIPAAm 大环配体-聚N-异丙基丙烯酰胺
NOTA-PtBA 大环配体-聚丙烯酸叔丁酯
NOTA-PMMA 大环配体-聚甲基丙烯酸甲酯
NOTA-P4VP 大环配体-聚4-乙烯基吡啶
NOTA-P2VP 大环配体-聚2-乙烯基吡啶
NOTA-PPS 大环配体-聚苯硫醚
NOTA-PBA 大环配体-苯硼酸
生产商:郑州pg电子娱乐游戏app
微生物技术有限的厂家放置时刻:半年手机截图:冷冻冷藏和睦语音提示:仅作科学,是不能在人身体进行实验