常用名 依多曲肽
英文名 DOTA-(Tyr3)-Octreotide acetate salt
CAS号 204318-14-9
分子量 1421.64000
密度 1.46g/cm3
沸点 1723.7ºC at 760 mmHg
分子式 C65H92N14O18S2
熔点 N/A
闪点 996.2ºC

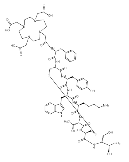
DOTA-「Tyr³」-Octreotide(繁体中文总称:DOTA-(酪氨酸3)-奥曲肽)就是一种将多齿不锈钢螯合剂DOTA与存在酪氨酸位点突显的奥曲肽衍生品物偶联而成的放射线性中成药分子结构设计。其结构设计对于金典的八肽紧密联系如此物奥曲肽(Octreotide),这里面第四位碳水化合物为酪氨酸(Tyr³),给予其对应的紧密联系和特点特色。组成部分特征1. 奥曲肽骨架奥曲肽一种环状八肽(九个酪氨酸构造),结构类型中构成关健点酪氨酸残基,赋予了其高感染力地融入在一起种子发芽抑素肾上腺素多巴胺受体(Somatostatin Receptors, SSTRs),尤其要是亚型2(SSTR2)。酪氨酸建在三、位,是干扰其肾上腺素多巴胺受体融入在一起业务能力和生态学特异性的关健点所在位置。2. 酪氨酸3位的装饰「Tyr³」提出在三、个有机酸职位为酪氨酸残基,这有位点的调取对奥曲肽的蛋白激酶柔软性至关首要。DOTA的相连大部分属于肽链的N端或赖氨酸侧链,使碳原子是可以稳定与蛋白激酶的高搭配力,同样集于一身螯合牵扯性放射性核素的力量。3. DOTA螯合基团DOTA(1,4,7,10-四氮杂环十三烷-N,N′,N″,N‴-四乙酸)都是个四齿环状螯合剂,就可以稳定可靠通过几种放射学性铝合金正离子(如^68Ga、^177Lu、^90Y等),为碳原子视频和放射学诊疗能提供地基。关于安利:DSPE-PEG-R8, DSPE-PEG-RRRRRRRR,磷脂-聚乙二醇-靶向药物穿膜肽R8DSPE-PEG-TH,TH-PEG-DSPE,磷脂-聚乙二醇-靶向药物肽THDSPE-PEG-GE11,GE11-PEG-DSPE,磷脂-聚乙二醇-靶点肽GE11DSPE-PEG-PTP,磷脂-聚乙二醇-靶向药物肽PTPDSPE-PEG-GE11,GE11-PEG-DSPE,磷脂-聚乙二醇-靶向治疗多肽GE11DSPE-PEG-VIP,磷脂-聚乙二醇-靶向治疗肽VIP DSPE-PEG-FSHB,FSHB-PEG-DSPE,磷脂-聚乙二醇-卵泡兴奋素多肽FSHBDSPE-PEG-FITC,Fluorescein-PEG-DSPE,磷脂-聚乙二醇-荧光素VS-PEG-NHS,Vinylsulfone-PEG-NHS,丁二烯砜-聚乙二醇-活力性酯