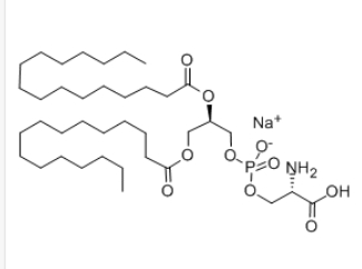
DPPS,145849-32-7,1,2-二棕榈酰-sn-甘油-3-磷脂酰丝氨酸
英文版英语名称: 1,2-DIPALMITOYL-SN-GLYCERO-3-PHOSPHO-L-SERINE (MONOSODIUM SALT)中文翻译名稱: 1,2-二软脂酰基-SN-甘油-3-磷酸-L-丝氨酸钠盐MF: C38H73NO10P.NaMW: 757.956CAS: 145849-32-7

DPPS,即 1,2-二棕榈酰-sn-甘油-3-磷脂酰丝氨酸,是一种天然来源的阴离子磷脂分子,在细胞膜结构、信号识别和膜蛋白功能研究中具有重要应用价值。其分子结构包括两个棕榈酰(C16:0)脂肪酸链、甘油骨架、磷酸基团及L-丝氨酸头部,整体呈负电荷,有助于构建模拟生物膜或靶向识别系统。
在人体神经元生态学学中,丝氨酸磷脂最主要分散于人体神经元膜内测,常规情形下不要爆漏于膜本身面;但在人体神经元凋亡或某一些病理学过程中中,磷脂酰丝氨酸(PS)会外翻至膜里侧,当上“吃我预警”(eat-me signal),供巨噬人体神经元或免役设计区分与移除。往往,DPPS最常用于钻研:细胞膜结构模拟;
免疫识别机制;
纳米载体表面功能化,以模仿天然信号,提升靶向性或亲细胞性。


pg电子娱乐游戏app
微信公众号
官方微信