英文名 p-SCN-Bn-TCMC
CAS号 2780352-89-6
分子量 547.68
密度 1.38±0.1 g/cm3(Temp: 20 °C; Press: 760 Torr)(Predicted)
沸点 882.6±65.0 °C(Predicted)
分子式 C24H37N9O4S
熔点 N/A

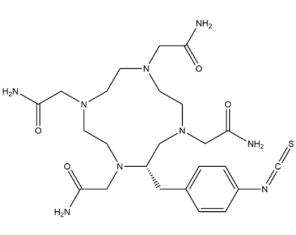
p-SCN-Bn-TCMC,全名叫 p-isothiocyanatobenzyl-TriCarbamoylMethylCyclen,一种特点化的多齿螯合配体,是指环状四齿氮配体衍化物。它由四氮环的成分(Cyclen)衍化到来,每项氮氧分子按照羧甲基化突显出现羧酰基,具有三羧酰甲基化环状的成分,因此明显增强其对铝合金铝离子的络合性能。该无机氧化物的苯基端会有 异硫氰酸基团(–N=C=S),使其就可以按照共价方式英文与胺类无机氧化物出现稳定性的硫脲键,一项的反应的高非特异聊天和提高利用率率使其在化学工业和物料科学研究中很广应用领域。有机化学设备构造上,p-SCN-Bn-TCMC 的特殊性是:四齿氮环格局(Cyclen):具备不增强性的螯合生活环境,可与多种不同过度合金材料和放射学性合金材料转变成相对高度不增强性的积极配合物。三羧甲基修饰语:增进了配体的水可溶性和螯合学习能力,同一时间经由羧旋律节材料配位结合和不稳性。p-异硫氰酸苯基:给出可以用在于生物制品大氧氧分子绘制的几丁质酶位点,可与含氨基的氧氧分子(如蛋白质含量质、肽链、核酸绘制场面)确定共价对接。在化学反应使用等方面,p-SCN-Bn-TCMC 常被用在:的功能化配体系备:能够其异硫氰酸基,可将 TCMC 骨架特定到不同有机酸原子核或高原子核支墙上,为进几步配位金属材料化合物保证发应性位点。合金材料配位药剂学:TCMC 骨架对合金材料阴阳离子的络合作用良好,更是最合适与稀土元素合金材料、换季合金材料及一系辐射性性合金材料确立高稳相关性高性pp物。表皮化学物质改良:根据硫脲键与的载体表皮的氨基共价构建,可光催化原理实用功能化表皮产品、感应器器介面或配体表达奈米科粒。一些最新推荐:AF532标记符号春小麦胚芽凝集素(WGA)AF532 mal,AF532 马来酰亚胺AF488 WGA,AF488箭头春小麦胚芽凝集素AF488 WGA,Alexa Fluor WGAAnnexin V-AF488标识AF488标志链霉亲和素偶联物鬼笔环肽-AF488标识AF488 TCO,AF488 反式环辛烯AF488 醛,Alexa Fluor 488 醛AF488-标注羊抗鼠免疫细胞球球蛋白(H+L)