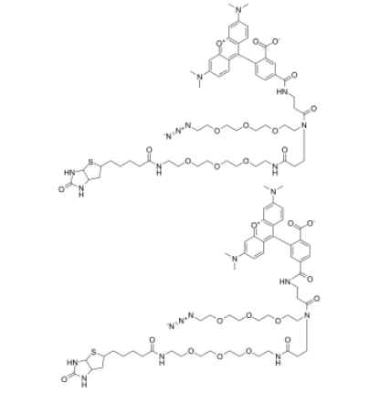
英文名 TAMRA-Azide-PEG-Biotin
CAS号 1797415-74-7
分子量 1174.38
分子式 C57H79N11O14S
的情况:液态/粉状/氢氧化钠溶液储存:冷冻冷藏出售:陕西pg电子娱乐游戏app
微生物科学技术十分有限司

TAMRA-Biotin-N3 也是种双职能荧光箭头氧大分子结构,由黑色荧光颜料 TAMRA 与生物体学素(Biotin)在叠氮基团(N3)联系而成。氧大分子结构设计相辅相成荧光箭头特点与生物体学素亲和特点,同一在叠氮基团提供点催化体现能力,是职能化氧大分子结构检测器、原料绘制及箭头网络体系中的重要性方法。催化架构上,TAMRA-Biotin-N3 提取 TAMRA 的桔红色荧光管理的本质,切实保障高量子产出率和可見光放射优点。生物制品素一部分能提供强感染力,可作于与亲和素(Streptavidin)或链霉亲和素(Avidin)融合,做到可以控制猎取和标示。叠氮基团的带来授予团伙弹窗催化现象技能,可与炔基呈现的团伙高效、性价比最高相连接,产生增强的三唑环。三一部分用途的结合使 TAMRA-Biotin-N3 加入多用途标示团伙,可在催化呈现、原材料用途化和团伙检测器开拓中做到一体式化实操。物理防御化工本质特征部分,TAMRA-Biotin-N3 为黑色至橙黑色粉末状,可不能溶解 DMSO、工业乙醇、乙腈及缓存数据管理体系,有一个定水可溶性,但需防止长久的电离周围环境当心叠氮或动物素灭活。其黑色荧光火箭发射峰约在 580–610 nm,提升峰约 540–555 nm,光维持性优异,可在温度或较低温度背光环境下长久的保护。在检测大范围运用中,TAMRA-Biotin-N3 体现了大范围种类。其 TAMRA 管理处可以选择于荧光追综、影像或参考值分折;生态学素部件可与亲和素组织体制紧密联系,满足大分子式式捉捕、丰度或功用键模块模块化文件呈现;叠氮基团可参与者点开物理反映,与炔基呈现蛋白酶质、水滑石物或nm粉末紧密联系,满足功用键模块模块化和热塑。该大分子式式的多功用型键模块模块性状使其在大分子式式标上、荧光电极、文件功用键模块模块化和多通畅荧光组织体制下类有大范围运用社会价值。对应推存:稀盐酸塞利洛尔,Celiprolol hydrochloride,57470-78-7125-52-0,羟苄利明硝酸盐625115-55-1 Riociguat 利奥西呱西索米星,53179-09-2,Sisomicin Sulfate H2SO4脱硫脱硝生物体素-生物酯,CAS:80750-24-9红提糖丝氨酸,CAS:118358-38-62-叠氮-2-脱氧-D-巨峰葡萄糖粉,56883-39-7滋养脂修饰语NOTA,NOTA-NHS ester,1338231-09-6p-SCN-Bn-DOTA,127985-74-4