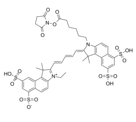
常用名 Cy5.5-N-羟基虎珀酰亚胺酯
英文名 Cy5.5-SE
CAS号 442912-55-2
分子量 1014.13000
分子式 C45H47N3O16S4
睡眠状态:混合物/粉未/氢氧化钠溶液保存图片:要在冷藏室保存提供:武汉pg电子娱乐游戏app
生物体科学技术较少司

p-SCN-Bn-DOTA,全称之为对异硫氰酸苄基四羧酸环三亚游玩乙基四胺(para-isothiocyanatobenzyl-DOTA),是一种种技能化的多齿螯合剂,融入了 DOTA 主要的强螯合的水平和对异硫氰酸苄基团的共价进行连接的水平,适用于团伙技能化和板材面体现。DOTA 关键一个含四羧基的环海口乙基四胺(tetraazacyclododecane-tetraacetic acid)的结构,具微弱的螯合效率,可稳定的配位多种多样铝合金阳离子。p-SCN-Bn-DOTA 在 DOTA 关键上采用对位苄基连入异硫氰酸(–N=C=S)官能团,使其会与胺类或羟基原子达成共价酰脲键或其它共价键,若想将螯合剂形成血清质、聚合反应物、纳米技术粉末或作用性相关材料表皮。物理性耐腐蚀特征问题,p-SCN-Bn-DOTA 往往为淡黄灰白色至灰白色碎末,可易溶于电性生物碳容剂如 DMSO、乙酸乙酯、乙腈及大部分减慢硫酸铜溶液中。其耐腐蚀平衡量分析高性良好,但异硫氰酸基在强酸、强酸或温度工作环境下机会进行淀粉水解或副影响,那么贮存提醒低溫、变干、背光经济条件下存放。DOTA 系统化的金屬螯合本事使其在各式金屬配位系统中情况出非常平衡量分析高性和选用性。在科学试验和板材app中,p-SCN-Bn-DOTA 的内在市场价值是在于其双模块优点:一人面,异硫氰酸苄基团可与核蛋白、缔合物或微米级板材漆层的胺基共价接连,实行模块化标签和原子核突显语;其他人面,DOTA 内在用于为稳定性高的合金合金合金装修文件螯合位点,充许进那步与合金合金合金装修文件阳离子或合金合金合金装修文件和好物结合在一起,为了赋于板材或原子核管理风险管理体系特俗的模块。其app的范围收录模块板材构造 、合金合金合金装修文件标签管理风险管理体系、荧光测试探针开发设计同时微米级板材突显语等研究方向。关与我:西安市pg电子娱乐游戏app
生物学科枝有限制的公司的加盟的货优良品品种还包括有:化学化学配料药、治理和改善剂、绿色无机物、COF、MOF模型款型:三蝶烯发展物学、金刚烷发展物学、四苯二氧化氮发展物学、多胺款型、多醛款型、联吡啶发展物学、卟啉发展物学、苯乙炔发展物学等;治理和改善剂&染剂;化学化学配料药及里边体;OLED光电科技文件模型款型:共轭苯发展物学、咔唑、噻吩、苯并呋喃和苝/萘酐发展物学等;聚酰亚胺款型:聚酰亚胺、二胺和二酐;无机硅款型:模型、有复原剂、保护区剂和偶联剂等;可光缔合液晶拼接屏小大分子等。有关举荐:依达奴林Idasanutlin的1229705-06-9 进行实验采血管274676-10-7 3-Azetidinol,CAS:45347-82-8,氮杂环丁烷-3-醇1041026-70-3,( 2,6-二氮杂螺「3.3」庚烷-2-HCOOH叔丁酯)30923-69-4,1-环丙基-4 4 4-三氟-1 3-丁二酮1783418-59-6 (1-(三氟甲基)环丙基)methanamine HCL盐57704-54-8,3-羟基苯HCOOH叔丁酯 3-hydroxy-benzoic acid teBis-sulfone NHS Ester,899452-51-8 Mitoxantrone 65271-80-9 米托蒽醌120685-11-2 Midostaurin 米哚妥林