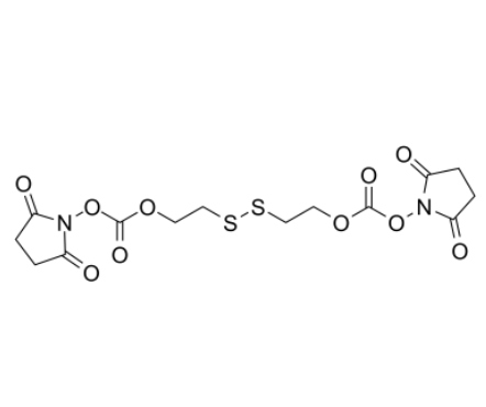
常用名 NHS-PEG1-SS-PEG1-NHS
英文名 Bis(2,5-dioxopyrrolidin-1-yl) (disulfanediylbis(ethane-2,1-diyl)) dicarbonate
CAS号 1688598-83-5
分子量 436.41
分子式 C14H16N2O10S2

NHS-S-S-NHS 是一个种职能性双活力酯原子核,其设备构造由几个 N-羟基琥铂酰亚胺(NHS)酯完成可还原故宫场景二硫键(–S–S–)进行连接而成。该原子核依照了 NHS 酯的高发生反应性和二硫键的可控性断开特征,是勾勒交连剂、职能用料及多原子核制度的首要药剂学手段。生物形态层面,NHS-S-S-NHS 的任何 NHS 酯端都能与含胺基的碳原子高效能益化学反应,构成稳定性的酰胺键,完成共价交连或系统化淡化。二硫键的存有使相连接的两只碳原子或材料在替换必备条件下闭环制开裂,符合于可逆转交连工作管理体系中或闭环制宣泄工作管理体系中的引入。这些特有的双系统空间结构使 NHS-S-S-NHS 才可以在高碳原子化合物物、纳米级颗粒肥料、外表淡化并且多碳原子工作管理体系中中完成高效能益、闭环制的系统化。生物学化学式工业规定量分析上,NHS-S-S-NHS 一般而言为粉色至淡淡的黄色色固态垃圾,微溶于二甲基亚砜(DMSO)、乙腈和无水乙醇等正负无机萃取剂,但在泥里易油脂水解。大分子对光和热太敏感,补充需低温室内环境遮光,并在潮湿室内环境中留存,以保证 NHS 酯的活性酶。化学式工业固定量分析合适,潮湿情况下可长期性的留存,但应以免 强恢复原剂或强酸性碱室内环境,严防二硫键或 NHS 酯副作用。在实验设计软件中,NHS-S-S-NHS 被普遍使用于多原子风险管理制度的化学反应交连和职能化。使用胺基与 NHS 酯影响,可进行蛋白酶质、缩聚物或微米级粒子的比较稳定共价连到。二硫键的实时控制破裂基本特征使其在引入可逆反应化学反应交连风险管理制度或实时控制宣泄风险管理制度中越发根本,举列在自折装素材、缩聚物网咯和微米级承载中软件。其双职能端的结构可在一些原子行同时作使用于二个连到位点,作为快速率、多职能的化学反应操作使用实力。介绍小编:广州pg电子娱乐游戏app
生物学科技开发不多我司经营的的类产优良品品种是指有:配料药、可抑制性剂、先天乙酰乙酸、COF、MOF加聚物系类:三蝶烯诞生物学、金刚烷诞生物学、四苯丁烷诞生物学、多胺系类、多醛系类、联吡啶诞生物学、卟啉诞生物学、苯乙炔诞生物学等;可抑制性剂&活性染料;配料药及当中体;OLED光电技术的材料加聚物系类:共轭苯诞生物学、咔唑、噻吩、苯并呋喃和苝/萘酐诞生物学等;聚酰亚胺系类:聚酰亚胺、二胺和二酐;无机硅系类:加聚物、有重置剂、自我清洗剂和偶联剂等;可光聚合反应液晶板小碳原子等。关联比较适合:镁化合物荧光检测器,Mag-Fluo-4 AM碳水单质糖物理化学采血管定制开发炼制CAS:869996-05-41425803-45-7,Cyclooctyne-O-NHS ester1167421-25-1,N6-「(2-Azidoethoxy)carbonyl」-L-lysineBiotin-C5-amine,115416-38-11454558-58-7,Bz-(Me)Tz-NHS1360467-41-9,NH2CH2CONH-Py2-Tetrazine144672-74-2,BODIPY 500/510 C1136233-53-9,Photobiotin 光敏生物工程素