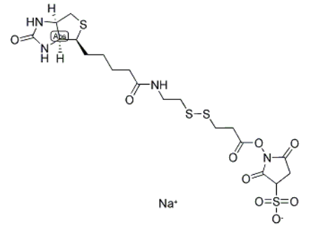
英文名 NHS-SS-biotin
CAS号 122266-55-1
分子量 606.69
分子式 C19H28N4O6S3
动态:液态/粉沫/溶剂保存图片:冰箱现货供应:北京pg电子娱乐游戏app
海洋生物新材料技术有局限投资有限公司

化学名称与结构
NHS-SS-biotin 是一种二官能团生物素衍生物,其特点是含有N-hydroxysuccinimide(NHS)活性酯和二硫键(–S–S–)桥接的结构。NHS基可与氨基反应生成稳定酰胺键,而二硫桥则赋予分子可还原的特性,使其在生物体系中实现可控断裂。该结构使NHS-SS-biotin在可逆标记、可拆卸连接和生物正交偶联中应用广泛。
物理防御检查是否规定性溶解度性:可易溶于DMF、DMSO及抗震液中,水可溶性受限,必须大量有机物稀释剂辅助软件。稳定的的性:空气干燥阴凉具体条件下稳定的的;在含重现剂标准体系中二硫键可能会被重现断。
反应特性
NHS-SS-biotin 是典型的氨基偶联试剂,结合二硫可逆性设计:
氨基偶联:NHS酯可与血清质、抗体阳性或多肽中的赖氨酸残基氨基产生酰胺键。可复原裂开:二硫键可使用复原剂(如DTT或TCEP)裂开,建立不可逆转移除标上氧分子或除去菌物素标上。影响條件:在pH 7–9 的降低液中影响,一般30秒钟到1个小时时需顺利完成。技术应用范围可逆转怪物素标上:用作淀粉酶质、抗原或体细胞外观的闭环标上,在拉下科学实验或抗体抓取中,标上可凭借保存剂快速清理。蛋清质纯化:确认链霉亲和素-微生物素系統实现目标蛋清阻止和过柱,借助二硫键实现目标性情温和保持。化学工业植物学学探索:用来可拆换偶联测试探针的搭建,如不不可逆转转荧光标注、可以操控的食用的药物施放或不不可逆转转热塑试验。多功用生物学标注:在大分子电极或微米质粒遮盖中,可保证 临场标注和可以操控的脱轨。相应最新推荐:ICG-NH2,1686147-55-6824426-32-6,叠氮乙酸琥铂酰亚胺酯217180-76-2,8-叠氮心酸135920-28-4,7-叠氮庚酸3-Azidopropanoic acid,18523-47-23-Azidopropan-1-ol,72320-38-86-叠氮基己胺,349553-73-72-Azidoethanamine118508-67-1,2-叠氮乙胺酸洗盐464190-91-8,氨基-聚乙二醇-叠氮N3-S-S-COOH,2228857-32-5NHS-S-S-NHS,1688598-83-5207399-07-3,IR-780 碘