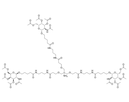
英文名 Tri-GalNAc(OAc)3
CAS号 1159408-64-6
分子量 1793.91
分子式 C79H128N10O36
睡眠状态:混合物/粉末状/稀硫酸包存:速冻批发商:杭州pg电子娱乐游戏app
生态学创新科技比较有限企业

Tri-GalNAc(OAc)₃ 有的是种由三分球子 N-乙酰半乳糖胺(GalNAc, N-Acetylgalactosamine) 凭借单一电化学物质上参与连接习惯包含的三聚体,因此其羟基一般 凭借乙酸酯化(OAc)参与保护英文。该无机化合物是糖电化学物质上与生物体偶联电化学物质上中根本的构造单元测试卷,多应用领域于 靶向治疗药品递送(Targeted Drug Delivery)、糖缀合物合成视频 和 大分子测试探针创设。从构成偏角了解,Tri-GalNAc(OAc)₃ 的根本骨架由 GalNAc 单糖模快主成,每一位单糖利用糖苷键联系成型三聚体。是由于先天 GalNAc 分子结构具有二个羟基,极易时有发生不用调节的缩合发应,之所以在转化成环节中一般先用 乙酸酯(Acetyl, OAc) 对羟基展开保护的,得以提升 发应确定性处理与有机检查是否平衡性。这也是其有机检查是否公司名称中具有 (OAc)₃ 的缘故。用途各个领域
表面修饰与材料科学
Tri-GalNAc(OAc)₃ 可通过偶联反应接枝到高分子、纳米颗粒或多糖材料表面,用于构建特定的糖修饰界面。
糖缀合物构建
作为糖化学中间体,它能够与荧光染料、聚合物、树脂等偶联,生成多功能材料。
分子识别研究
GalNAc 单元能与特定蛋白或分子相互作用,三聚体形式可增强结合效果,因此常用于模拟天然糖链的多价相互作用。
合成化学
乙酰保护的糖单元易于纯化和储存,可作为后续复杂糖链合成的构建模块。
一些分享:DOTA-Ala-Ala-COOH,螯合物前体肽氨基繁衍物肽,1180007-00-41248343-67-0,DOTA-Ala-羧酸iFluor 680 Styramide,AlexaFluor680酪酰胺iFluor 647 Styramide荧光酪酰胺缀合物,iFluor 594 Styramide7298-65-9,荧光素二丁酸酯荧光颜料-FAM,204697-37-0,5'荧光素氨基磷酸酯iFluor 555 Styramide