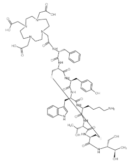
204318-14-9,DOTA-「Tyr3」-Octreotide,DOTA-(酪氨酸3)-奥曲肽
适用名 依多曲肽 英语怎么说名 DOTA-(Tyr3)-Octreotide acetate saltCAS号 204318-14-9 分子式量 1421.64000导热系数 1.46g/cm3



pg电子娱乐游戏app
微信公众号
官方微信