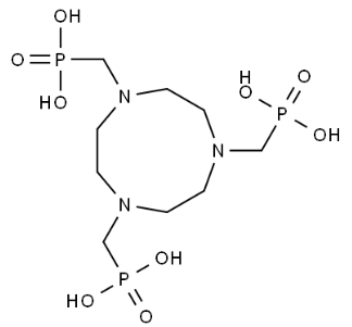
83834-39-3,NOTP的特征与化学性质
英文名称: NOTP
中文称呼: NOTP
MF: C9H24N3O9P3
MW: 411.22
CAS: 83834-39-3
用处:教育科研壮态:胶体/粉未/饱和溶液存放:要在冷藏室保存供应商:渭南pg电子娱乐游戏app 微生物技术有限品牌英文品牌
多齿配位与螯合效应
NOTP 可通过三氮原子和三个膦酸氧原子与金属中心形成强配位键。由于其大环刚性和配位位点的对称性,能有效包裹金属离子,形成八配位或九配位复合物
金属选择性
NOTP 对于三价金属离子(如 Ga³⁺、In³⁺、Fe³⁺、Lu³⁺、Gd³⁺)具有高亲和性和稳定常数。
例如,Ga–NOTP 复合物的稳定常数 log K > 25,明显高于传统EDTA或DTPA配体。
酸碱调控能力
由于膦酸基团的pKa分布宽广,NOTP在不同pH下可呈现多种配位状态,使其在生理条件(pH 6–8)下仍能保持高稳定性。
水溶性与生物兼容性
NOTP 及其金属复合物具有高的亲水性和低细胞毒性,适合用于生物医学成像和金属药物递送。
关于幼儿园你们:
宝鸡pg电子娱乐游戏app 生物制品科枝较少大公司不是家从事专业科研开发化学制剂、多肽、小原子PEG诞生物制品、石墨炔(graphyne)闪光原物料、复合能默契配合物闪光原物料、超原子、光刻胶、崔化剂、光
电装修食材、MAX相陶瓷厂家,碳奈米级管、制造原食材、奈米级装修食材、钙钛矿、核蛋白质含量化学交联剂、光发生剂,脂质体、炼制磷脂的研制、定做炼制、分娩和市场的高高新科技发展海洋生物高新科技发展有限公司英文
我司
相关内容选择:
217973-03-0,DO3A56491-86-2,NOTA313229-90-2,CB-TE2A130701-19-8,1,4,7,10-四氮杂环十三烷-1,4,7,10-四乙酸二乙酸脱氧核酸,112193-75-6,DO2ASulfo-Cy7-E SE,Sulfo-Cy7-E 琥铂酰亚胺酯287970-46-1,EAM-1线粒体膜电势荧光电极EAM-2,2125661-97-2Sulfo-Cy7双琥铂酰亚胺酯2032239-75-9,Mal-mono-amide-DTPAp-NH2-Bn-PCTA,2125661-64-3


pg电子娱乐游戏app
微信公众号
官方微信