NOTA NHS ester,1338231-09-6是一种活性化学试剂
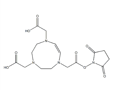
英语怎么说标题: 1H-1,4,7-Triazonine-1,4,7-triacetic acid, hexahydro-, 1-(2,5-dioxo-1-pyrrolidinyl) ester英文版命名: NOTA-NHS ESTERMF: C16H24N4O8MW: 400.38CAS: 1338231-09-6

NOTA NHS Ester 是一种活性化学试剂,由 NOTA(三齿螯合剂)和 NHS 酯(N-hydroxysuccinimide ester) 末端组成。它将金属螯合能力与氨基偶联特性结合,可用于蛋白质修饰、抗体标记以及放射性标记探针构建。
NOTA 算作多齿螯合剂,能够与 64Cu、68Ga 等牵扯性五金拉曼光谱产生保持稳定可靠的合作物。相较传统的螯合剂,NOTA 的结构类型紧促、螯合数率快、保持稳定可靠性好,越来越最合适创建 PET/SPECT 探头。NHS 酯端部都具有高化学不起作用生物,可与血清质、抗原或多肽原子外表的自主氨基化学不起作用,出现稳定性高的酰胺键。化学不起作用环境和气,不必催化反应剂,没被破坏血清质的结构和生物,利于在水饱和溶液网络体系中施用。NOTA NHS Ester 的其主要操作具有:蛋白质或抗体修饰:通过 NHS 酯端与氨基反应,将 NOTA 引入目标蛋白或抗体,为金属螯合和放射性标记提供可控位点。
放射性标记探针:偶联蛋白或抗体后,通过 NOTA 螯合金属同位素,可制备 PET/SPECT 探针,实现体内成像或靶向追踪。
多功能探针构建:可与荧光染料或纳米载体结合,实现联合成像或分子探针功能扩展。
温和反应条件:适合生物分子偶联,不破坏结构和功能。
高选择性:NHS 酯仅与氨基反应,偶联位点可控。
螯合稳定:NOTA 提供强螯合能力,保证放射性金属在体内稳定结合。


pg电子娱乐游戏app
微信公众号
官方微信