单臂末端氨基功能化柱[5]芳烃在脂肪半缩醛胺和脂肪亚胺方面的应用研究
单臂终端氨基技能化柱[5]芳烃在碳水化合物堆积半缩醛胺和碳水化合物堆积亚胺部分的操作科学研究就该想法的根本想法的时候就已经价值观,即醛和胺想法先建成半缩醛胺前面体,并且脱水怎么办建成亚胺。鉴于此,单方向面,忽高忽低定性处理渗透性前面体半缩醛胺关于的调查针对于根本学说加强是首要。马上观查半缩醛胺的调查策略步骤,如合理运用多晶硅深入分析策略步骤和共价键级的酶设备构造设计的概念调查来判定半缩醛胺设备构造设计的概念。并且,还有合理运用分解大环模拟训练酶制度来调查多余皮脂细胞胺类和清香醛的想法的时候。另个方向面,多余皮脂细胞亚胺和多余皮脂细胞半缩醛胺的不忽高忽低定性处理性引发质谱深入分析方法很困苦,因此探讨一下相应的的搞定情况报告很有重要。特别有没了有更轻松一个的手段来马上调查不忽高忽低定性处理的半缩醛胺前面体呢?近期内,各位报到了了种单臂最末端氨基的功能化柱[5]芳烃的设计的概念分解十分在忽高忽低定性处理多余皮脂细胞半缩醛胺和多余皮脂细胞亚胺方向的应用领域调查。

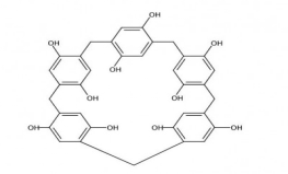
近年来,多样化功能化策略和优良的主客体性能,成为超分子大环主体研究领域的热点。许多新颖的发现都与大环结构具有密切的关联。我们基于先前报道的一类自包结分子(或准轮烷),经过优化设计,合成出如Figure 1所示的单臂末端氨基功能化柱[5]芳烃,该分子在特定溶剂中同样具有非常稳定的自包结结构。通过建模验证,确认这种自包结的分子可以作为一个人工合成受体,控制脂肪醛与其自身末端氨基的反应在空腔内进行。该团队结合亚胺形成过程的基本机制,采用液相色谱-质谱联用方法对反应进行跟踪式研究。结果表明,如Figure 2所示,所研究的不稳定的脂肪亚胺和脂肪半缩醛胺都可以在质谱中清晰的观测到。

西安pg电子娱乐游戏app 生物供应柱芳烃衍生物产品名称及基本信息:
英文怎么说分类: Dimethoxypillar[5]arene
密度计算:1.146±0.06 g/cm3(Predicted)
![单臂末端氨基功能化柱[5]芳烃在脂肪半缩醛胺和脂肪亚胺方面的应用研究-UDP糖丨MOF丨金属有机框架丨聚集诱导发光丨荧光标记推荐西安pg电子娱乐游戏app
生物](/images/logo.png)






pg电子娱乐游戏app
微信公众号
官方微信