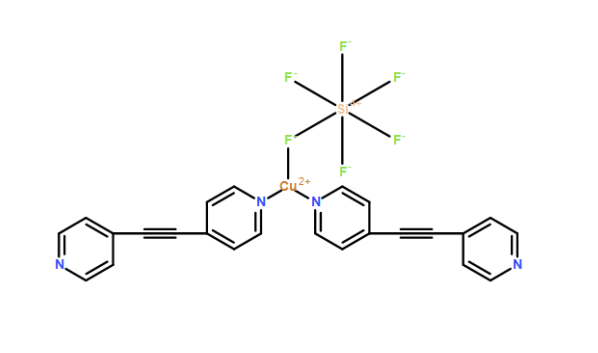
SIFSIX-2-Cu,cas1428136-87-1
SIFSIX-2-Cu-i
SIFSIX-2-Cu-i
CAS NO.:1428136-87-1
原子式:C24H16CuF6N4Si
原子量:566.03
资料分类:SIFSIX-2-Cu-i
其它公司名称:[Cu(dpa)2SiF6-i]
CAS:726124-20-5

组织氧分子结构 C24H8N4F6SiCu 行业氧分子量 557.97
配位铝合金 Cu 配体
1,2-二吡啶乙炔 1,2-bis(4-pyridyl)ethyne (CAS:73564-69-9)
粒径 ~0.5nm 孔容 0.2 cm3/g
比外层 NA
模以节构
商品特性
类产品形貌 灰蓝紫色粉状
Grey Purple Powders
粒度分布 不规律团状
安全性
1) SIFSIX-2-Cu-i在湿润气体中保持不稳定性,在水和乙酸乙酯中保持不稳定性
2) 热分析水温低于300℃
存储和纯化形式
1) 超低温环境或低温环境條件下,太干隔绝保管
2) 最好施用前高温进口真空烤箱活性3一小时
别的属性
荧光:NA
APP域
1) 实验室气体粘附与分離(如二阳极氧化物碳、二阳极氧化物硫等)
2) 重工业空气分离处理(乙烷/丁二烯)

论述的人员制法了多重有机物阴阳离子(SiF62-=SIFSIX, NbOF5= NbOFFIVE)柱撑的杂化超微小孔资料,抽象方法资料可高确定性的捕集器丙炔原子,得以实现目标丙炔与丙烯的分离法。十分的,含有棱形形网格结构的的吡嗪类超微小孔资料的微小孔形壮和吸附性系统基团地方可在0.1-0.5Å的范围图内来进行国家宏观调控
图1 有差异 型式的阴阴阳离子柱撑杂化多孔产品的丙炔和丙烯的降解等温线

A) SIFSIX-1-Cu,SIFSIX-2-Cu-i和SIFSIX-3-Ni的丙炔(圆点)和丙烯(三角型形)的溶解等温线,0-1.0 bar;
B)SIFSIX-1-Cu,SIFSIX-2-Cu-i和SIFSIX-3-Ni的丙炔(圆点)和丙烯(正三角形形)的吸附物等温线,0-0.05 bar;
C)SIFSIX-3-Ni, SIFSIX-3-Zn,和NbOFFIVE-1-Ni的丙炔(圆点)和丙烯(角形形)的吸等温线,0-0.05 bar。
就zhn2021.09.14


pg电子娱乐游戏app
微信公众号
官方微信