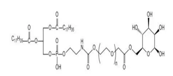
产品名称:DSPE-PEG-Mannose甘露糖, MW:3400 磷脂-聚乙二醇-甘露糖
英文名称:Mannose-PEG3400-DSPE DSPE-PEG-Mannose
别名:DSPE-PEG2000-Mannose DSPE-PEG3400-Mannose
质:95%+大分子结构量:各位作为日常的大分子结构量,也就能够要根据玩家需求量采取私人定制储放模式:-5°C接下来保留,潮湿,遮光乳状液公式:需小于乘以1.05容剂:氯仿,DMSO等大部分无机容剂。格局式:

简价:聚乙二醇(PEG),也可称聚树脂乙烷(PEO)或聚氧氯乙烯(POE),指得树脂乙烷的寡聚物或聚合反应物。会根据分子结构结构量的与众有所区别,聚乙二醇可称液态或低融点粉状。在链长的影向,与众有所区别分子结构结构量的聚乙二醇虽然有与众有所区别的机械性能和广泛应用,但大这部分的聚乙二醇电生物性能是似的的。标签印刷:小瓶装服务商:宝鸡pg电子娱乐游戏app
生物工程科学技术有限制的工厂生孩子详细地址:宝鸡温磬信息提示:仅应用在科研管理兰州pg电子娱乐游戏app
生物技术创新科技比较有限企业可供常规的磷脂一人、PEG磷脂,改良磷脂,荧光标签磷脂、配位高氧分子化合物磷脂、磷脂偶连硅化物nm物料及微球类物料、单细化小氧分子PEG磷脂偶连车辆,还可按照其加盟商都要定做人工复杂的及唯一性的配位高氧分子化合物磷脂车辆、两亲嵌段共聚物,磁体nm科粒,nm金,荧光量子点及树根状配位高氧分子化合物、PEG衍生品物技术……车辆,更有大部分的库存积压车辆可供选定 ,详细信息请顾问客服中心。相关内容好产品推薦:OPSS-PEG400-DopamineCOOH-PEG3400-PLGATK-PEG-DSPE磷脂-酮缩硫醇-聚乙二醇-可溶性酯DBCO-PEG2000-OVAmPEG5000-PAE10000NH2-PEG3400-Glucose