ZIF-67金属制-有机酸骨架材料
做为金属质-有机化学骨架原材料的-一种支系,ZIF 一家中大这部分成员国含有一种新型的拓扑关系格局日,必备条件对外开放休闲的骨架格局、较少的比单单从表面积和规范的孔道格局。这部分ZIF的人的比接触面积高达hg1970 m'/g,热工业制硝酸摄氏度敢达663 K,在水水汽和充分萃取剂此回流的问题下仍能始终保持较高的可靠性。ZIF-67是复合有机物骨架建筑村料的一种人员,它在多孔建筑村料用各个领域呈显现出存在的用利润。近几年关于ZIF-67的镶嵌十分在CO2阻止上的探析较多田,可相关ZIF-67的更加均匀形貌和其热不稳定性的的研究较少。
按照SEM对有差异 配法所合成视频的ZIF-67土样开展形貌探究(图2)。从图2中可看清楚,不一比列所结合的ZIF -67的形貌有特点最基本相一致。

ZIF-67的总体相关信息
CAS:46201-07-4
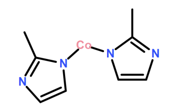
原子式:C8H12N4.Co
原子量:223.14
材料名字大全:ZIF-67(Co)
其它的名称大全:2-Methylimidazole Cobalt salt
CAS:46201-07-4
企事业单位分子结构式 C4H6N2.Co 计量单位碳原子量 223.14
配位合金金属 Co 配体 2-甲基咪唑(CAS:693-98-1)
管径 0.34nm; 1.1nm 孔容 0.66 cm3/g
比漆层 BET比外观1500 m2/g
服务相对性状
食品形貌 蓝紫色粉尘
Purple Powder
粒度分布 500nm-1um
安全稳明确
1) ZIF-67 空气中中持续不可靠性,水稀硫酸和含酸性稀硫酸中不可靠性;含酸性状态下不不可靠性
2)安全性、热拆分室内温度低于400℃
存有和碱化技巧
1) 恒温或较低温度前提下,皮肤干燥密封隔绝上传
2)觉得便用前120度(真空度)烘干箱纯化5小
其他的特征
荧光:NA
采用方面
1) 储气资料和吸收资料
2) 适用于为**形式开展**吸出和缓释
的小编zhn2021.09.18


pg电子娱乐游戏app
微信公众号
官方微信