mannose-PEG-Chitosan 甘露糖-PEG-壳聚糖 mannose-PEG2000-Chitosan
產产品名字称:
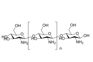
甘露糖-PEG-壳聚糖 mannose-PEG-Chitosan
别名:壳聚糖-PEG-甘露糖 mannose-PEG2000-Chitosan mannose-PEG3400-Chitosan
要注意重大事项:在干澡的场景中运用,以免 高频的分解和冻干溶化性:溶解于大个部分有机化学石油醚,溶解于水运用:现配现配壳聚糖构成式:


pg电子娱乐游戏app
微信公众号
官方微信