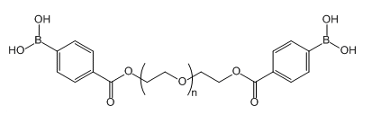
PBA-PEG-PBA 苯硼酸-聚乙二醇-苯硼酸
常常名号:苯硼酸-聚乙二醇-苯硼酸日文各称:PBA-PEG-PBA日语别号:BPh-PEG-BPh产品设备饱和度:≥95%成品的主要用途是什么:软件于医学检验的深入分析,用药降低,纳米级的技术和新板材的深入分析,細胞培训。 及其配体的深入分析,多肽聚合支持软件,接枝比较高的分数子化学物质,新板材和聚乙二醇热塑性树脂特点纳米涂层等活力性化学物质这方面。PEG原子核量供选择:350、550、750、1k、2k、34k、5k等 项目 山东pg电子娱乐游戏app
生物制品科技开发局限限公司制造地 广州温磬提升:仅适用科研课题



pg电子娱乐游戏app
微信公众号
官方微信