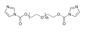
CDI-PEG-CDI α,ω-二羰基咪唑聚乙二醇
中文版种类:α,ω-二羰基咪唑聚乙二醇英文版名字:CDI-PEG-CDI国外英文俗称:Carbonyl imidazole-PEG-Carbonyl imidazole厂品纯净度:≥95%软件功用:选用于临床科研,制剂缓解压力,纳米级技术水平和新素材科研,人体细胞培养教育。 、配体科研,多肽提炼苹果支持,接枝得碳原子有机物,新素材和聚乙二醇热塑性树脂功用铝层等催化活性有机物工作方面。PEG大分子量必选:350、550、750、1k、2k、34k、5k等 国际品牌 宝鸡pg电子娱乐游戏app
生物制品科技信息比较有限总部主产地 昆明幸福系统提示:仅用作科技创新



pg电子娱乐游戏app
微信公众号
官方微信