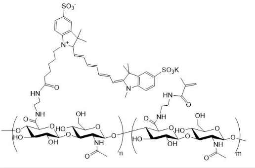
Cy7-HA-MA Cy7标记甲基丙烯酸酯化透明质酸
Cy7-HA-MA Cy7标记符号甲基水性聚氨酯酯化白色质酸中文翻译分类:Cy7标签甲基亚克力 酯化合理质酸英语怎么说公司名称:Cy7-HA-MA

产地:西安
相关产品:


pg电子娱乐游戏app
微信公众号
官方微信