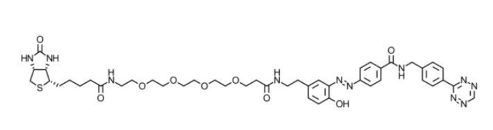
Tetrazine-diazo-PEG4-biotin的分子式:C45H57N11O9S,分子量:928.07
Tetrazine-diazo-PEG4-biotin服务陈述:重氮海洋微生物工程素炔烃是叠氮化物纯化的连二亚硝酸钠钠可裂解的海洋微生物工程素探头,可从链霉亲和素中**放出阻止的海洋微生物工程分子式。分子结构式:C45H57N11O9S大分子量:928.07油漆颜色:固态物体/粉沫溶解出来性:DMSO, DMF要求:mg溶解度:>95%
产地:西安
用途:仅用于科研
温馨提示:仅用于科研,不能用于人体实验!

以下商品仅适用教学科研(ysl2022.4.12)


pg电子娱乐游戏app
微信公众号
官方微信