黑磷(B-P)仍然其高的载流子变更率,大好/关比,其可以调整谐的可以结构类型招引了消费者们越变越快的关注度。与石墨稀相对于,它被会认为是在光电器件电子器件机中采用的有可能的涂料。仅是,在豪迈压下B-P简单钝化,这样的话也会严重影响其操作在合理装制中。只为完善它的这类因素,科研察觉镁合金化B-P是一种个还可以的使用,就比如咖啡色砷磷各种合金展现了可调节带隙,光学元件的性能和不错的坏境安稳性。另一类种措施是获得新的用于建材黑砷(B-As),最为B-P的表哥们,它更具其近似的型式有的物理学和化学式材质。
结果介简
简讯一堆种新的物质二维的原材料:黑砷,将其用途到庭因素单晶体管上,显出现更好的性能方面。该原创文章以“Thickness-Dependent Carrier Transport Characteristicsof a New 2D Elemental Semiconductor: Black Arsenic”为题,文章发表在ADVANCED FUNCTIONAL MATERIALS上(DOI:10.1002/adfm.201802581)。
数码影像阅读笔记

图一:b-As氯化钠晶体的定性分析。(a)b-As的层状多晶体框架;( b)单面和多层住宅b-As片的微拉曼光谱图;( c,d)b-As晶胞的好成绩辨率智能电子为了满足电子时代发展的需求,散射智能电子为了满足电子时代发展的需求,高倍显微镜(HRTEM)和选区智能电子为了满足电子时代发展的需求,衍射(SAED)形象。

图二:编织成单层b-As场效应晶体管(FET)的表征。(a)双层结构b-As FET横受力;(b)三层b-As FET的原子结构力显微镜观察(AFM)图象;(c)在各不相同漏源电压电流(-0.01至-1 V)下,双层结构器材(长为2b如图所示)的变更特性曲线美(Ids-Vg),右边是常用对数读数,左边是直线精确度;(d)在各种的栅极线电压从0到-20 V下,同一个机械的伤害性能指标身材曲线。

图三:b-As FET的载流子高速传输的板材的厚度和温暖的忽略性。(a)在-0.5V的Vds下,b-As的载流子迁出率和开/关比随厚度的变化;(b)都具有这几种**重量(4.6,8.9和14.6nm)砷FET的转回基本特征斜率。 图文并茂:14.6nm厚的样品的工作输出性能弧度;(c)在不相同工作温度下9.5nm厚的b-As FET的转至性质曲线美(Ids-Vg);(d)体温对载流子转迁率的影响力。 载流子挪动率在约230K时具有约52cm2 V-1s-1的谷值。在温度部分,载流子转迁率通常受沉渣散射的的限制。远超230 K,载流子迁移率随着温度的升高以μαT-α的表现形式飞速急剧下降,其中的α≈0.3。那就是犹豫晶格散射在该高温位置占主体道德水准。

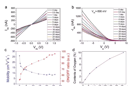
图四:b-As电子元器件的场景平衡性。(a)对于生态暴漏时长的涵数的少层b-As结晶体管的源极 - 漏极I-V弧线。当我们能够了解到硫化锌管在26十四天仍长期保持优异的欧姆触碰优点;(b)收录26天,单晶体管的转至弧度;(c)载流子渗透率和开/关比看做该多晶体管的氧气裸露周期的指数函数。 伴随着曝露期限的加大,该氯化钠晶体管的知识率呈非平滑,从26 cm2 V-1 s-1增加到约8.4 cm2 V-1 s-1; 所以,ON / OFF占比从差不多69加强到差不多97.对于那些这里FET,板材的厚度为砷为11.9nm,沟道总长度为≈2μm,沟道尺寸各用为≈2μm;(d)b-As中氧的纯度因为大曝光的时间的不同规律而不同规律。

图五:少层b-As中计算的电子特性。(a)双层和想关布里渊区电子层的结构的俯看图;(b)用PBE官能团计算的双层结构黑砷的带隙结构特征;(c,d)CBM和VBM的部件自由电荷地理分布;(e)黑砷的带隙变现做为层宽度的涵数。
个人总结
自始至终,我们大家制法了双层和几层鉴于b-As的场现象晶状体管。并相信研发了植物的根的电性能指标。出现电子设备标签与钢板薄厚有观,仿品的钢板薄厚约为5.7微米时,具备高载流子移迁率更是高达约59 cm2 V-1 s-1,板厚约为4.6纳米时,具大开/关比不低于105。在的温度相关联的载流子移动率衡量时,证实了在230K时观查到顶值; 最低230 K,载流子转迁率首要受杂物散射的束缚,但晶格散射在持续高温下占主导关键作用关键作用。更注重的是,b-As提示 出较为很好的条件安全性。在空气的中暴漏约两个月左右后,鉴于b-As FET已经较好。公司的报告表述,为少部分的层b-As场滞后效应微米线管是微米光电电器元件含有盼望的获选者。具备着极为大的技术应用发展趋势。


pg电子娱乐游戏app
微信公众号
官方微信