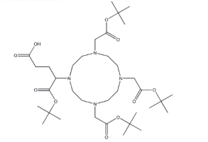
DOTA-GA(tBu)4| CAS 306776-79-4|螯合剂试剂
DOTA-GA(tBu)4 CAS 306776-79-4中文翻译名稱:DOTAGA-四叔丁酯CAS号:306776-79-4氧分子结构:C35H64N4O10分子结构量:700.9颜色:黄白色甚至淡黄白色纳米银溶液生产商:西安市pg电子娱乐游戏app
怪物自动化有限有限公司英文有限公司英文适用:68Ga、111In、64Cu肽和抗原标出用螯合剂的化学式:

DOTA tris(tBu)ester NHS ester CAS 819869-77-7
Maleimide-DOTA CAS 1006711-09-5
Maleimide-DOTA-GA CAS 1800229-46-2
DOTA-GA-Anhydride CAS 1375475-53-8
Eu-DOTA-4AmC CAS:481668-57-9
Tm-p-SCN-Bn-DOTA CAS:2126179-32-4
Gd-p-SCN-Bn-DOTA CAS:2126179-26-6
Ho-p-SCN-Bn-DOTA CAS:2126179-28-8
Tm-Maleimido-DOTA CAS:1552305-24-4
Ho-Maleimido-DOTA CAS:1349103-97-4
Gd-DO3A-Butylamine CAS:782423-00-1
NH2-PEG4-DOTA-GA CAS 137076-54-1
Propargyl-DOTA-tris(tBu)ester CAS 911197-00-7
BCN-DOTA
1.关与色调新食品因区别新食品的原子核量区别,新食品遗传性状和样色有的区别。2.介绍售后如您的谘询没有尽快回话,可能会是但是谘询过量就是操作系统系统故障。小编将供应售后维修功能。3.对於发货,我们大家的达成合作快递包裹的有限公司有申通快递、申通、申通、韵达。仅用作用作教学科研,并不能用作人体本身校正(zyl 2022.04.27)

pg电子娱乐游戏app
微信公众号
官方微信