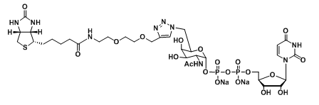
UDP-6-Biotinyl-GalNAc,生物素偶联N-乙酰半乳糖胺
食商品命名称:生物工程素偶联N-乙酰半乳糖胺英文翻译种类:UDP-6-Biotinyl-GalNAc
我们:Qiyue hao,2030年15月30日,该物料仅用做科研开发,不也可以做别的妙用,如因违相反引起不恰当的坏处,皆与本企业有关。

| CMP-Xylose | CMP-木糖 | 溶解度98+ |
| CMP-Glucose | CMP-提子糖 | 纯净度98+ |
| CMP-Rhamnose | CMP-鼠李糖 | 色度98+ |
| CMP-galactose | CMP-半乳糖 | 饱和度98+ |
| CMP-Arabinose | CMP-阿拉伯糖 | 饱和度98+ |
| CMP-GlcNAc | CMP- 葡糖醛酸 | 溶解度98+ |
| CMP-Mannose | CMP-甘霖糖 | 含量98+ |
| CMP-Xanthan | CMP-石莼多糖 | 色度98+ |
| CMP-Xylan | CMP-木聚糖 | 饱和度98+ |
| CMP-Galacturonan | CMP-半乳糖醛酸 | 饱和度98+ |
| CMP-Arabinan | CMP-阿拉伯聚糖 | 色度98+ |


pg电子娱乐游戏app
微信公众号
官方微信