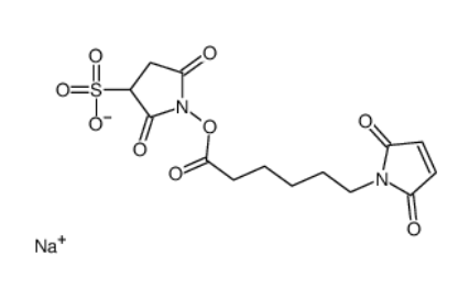
Sulfo-EMCS是一种水溶性、双功能交联剂,广泛应用于生物化学和分子生物学领域。该化合物含有两种不同的活性官能团:一个马来酰亚胺(maleimide)基团和一个磺化N-羟基琥珀酰亚胺酯(sulfo-NHS ester)基团,使其能够选择性地与蛋白质或其他生物分子的巯基和氨基进行交联反应。Sulfo-EMCS的独特结构赋予其高度的水溶性,便于在生物体系中应用,特别适合细胞表面蛋白、抗体、酶及纳米材料的偶联和修饰。
常用名 磺酸基-EMCS
英文名 Sulfo-EMCS
CAS号 215312-86-0
分子量 410.33
分子式 C14H15N2NaO9S
熔点 158-165 °C

双功能交联能力
Sulfo-EMCS通过NHS酯基与含氨基的生物分子反应,形成稳定的酰胺键;同时,马来酰亚胺基团则可与含巯基的分子(如半胱氨酸残基)特异结合,实现分子间的双向偶联。
水溶性优异
相比未磺化的EMCS,Sulfo-EMCS无需有机溶剂即可直接溶解于水溶液,便于在生物体系中操作,降低细胞和蛋白质的损伤。
选择性高,反应效率快
马来酰亚胺基团对巯基具有高度选择性,反应快速且生成物稳定,不易被水解;NHS酯对氨基的亲和力强,促进高效偶联。
形成稳定共价连接
交联后形成的硫醚键和酰胺键均具备良好的稳定性,适合于后续的生物检测和功能研究。
蛋白质和多肽交联
Sulfo-EMCS常用于连接含巯基和氨基的蛋白质,构建多功能复合物或稳定连接蛋白质与其他分子,应用于抗体修饰、酶偶联及蛋白质阵列。
抗体偶联和免疫诊断
利用其双官能团特性,Sulfo-EMCS能高效连接抗体与荧光染料、酶、药物或纳米颗粒,构建高灵敏度的免疫检测体系。
纳米材料修饰
在纳米技术领域,Sulfo-EMCS用于修饰纳米颗粒表面,实现生物分子功能化,改善纳米材料的生物相容性和靶向性。
细胞表面标记
通过Sulfo-EMCS,能实现细胞膜蛋白的特异性标记,便于细胞成像和功能研究。
构建生物传感器
利用Sulfo-EMCS的交联功能,可制备具有特异识别能力的生物传感器,提高检测的灵敏度和准确性。


pg电子娱乐游戏app
微信公众号
官方微信