442912-55-2,Sulfo-Cy5.5-E SE一种水溶性远红光荧光染料
发布时间:2025-08-21     作者:zyl   分享到:
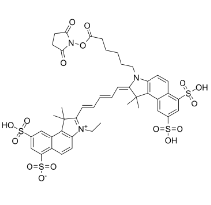
常用名 Cy5.5-N-羟基琥珀酰亚胺酯
英文名 Cy5.5-SE
CAS号 442912-55-2
分子量 1014.13000
分子式 C45H47N3O16S4
熔点 N/A

Sulfo-Cy5.5-E SE 有的是种水溶解性远红光荧光活力染料,由 Cyanine 5.5(Cy5.5)荧光核心理念和单端水溶解性活力酯(Sulfo-SE)基本功能基团定义。该团伙结合在一起了 Cy5.5 的高亮显示度荧光无线信号和水溶解性活力酯的高化学物质现象性,可效率高与球蛋白质含量或各种胺基生物体团伙共价偶联,应用于荧光标注、团伙搜寻及多节点显像科学研究。Cy5.5 不是种典范远红光荧光有机染料,消除光激发光谱约 675 nm,使用光激发光谱约 694 nm,兼有高量子产出率、好光保持稳判定及低光增白基本特征。远红光电磁波在活上皮细胞显像、多缓冲区荧光检验及深透组织结构显像中兼有优越性,极大减少组织荧光干预,提供信噪比。Sulfo-SE(磺化化学活化酯)也能在水性树脂加载液中与中级证书胺(–NH2)有效作用,达成维持的酰胺键(–CONH–)。磺硝化作用水融解性淡化使碳原子可在池里始终维持好的融解性,同一时间减低非特女性朋友灵活性炭吸附和水解生理反应安全风险,提高偶联作用清新有效。该单端化学活化酯设计的概念非常方便高精度掌握偶联位点,减小靶标碳原子的工作干涉。注意应用领域例如:膳食纤维质与表面抗原标示:可高效率标示膳食纤维质或表面抗原的胺基,实现了远红光荧光关注和免疫抗体检查测量。微米顆粒和脂质体功能模块化:可将 Cy5.5 的信号引出微米形式外表面,确保示踪、固定及食用的药物推送理论研究。多过道远红光影像:Cy5.5 释放出股票波段与绿色健康或土黄色荧光染剂兼容,可实现多靶标共影像解析。关联推荐英文:DMPip-βALA-OSu 922182-37-41252799-47-5,(R)-NOTA-GA-(COOt-Bu)3152111-91-6,NIR-797-isothiocyanatCAS:115534-33-3,TMA-DPH47729-63-5,JC-1 iodideER-TrackerGreen Cas:730931-46-11801695-60-2|Me-tetrazine-Disulfo-Cyanine3CypHer5 CAS:312961-83-4894095-98-8,β-D-glucuronide-pNP-carbonate