16:0-18:1 PC,CAS:26853-31-6,磷脂酰胆碱(PC)的合成与制备
16:0-18:1 PC,CAS:26853-31-6
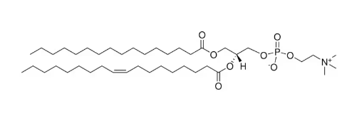
16:0-18:1 磷脂酰胆碱(PC)一、基本信息
氧化物名稱:16:0-18:1 磷脂酰胆碱英文翻译名字大全:1-palmitoyl-2-oleoyl-sn-glycero-3-phosphocholine,名字简称 POPCCAS号:26853-31-6原子式:C42H82NO8P大分子量:760.1 g/mol该有机物是适用的 磷脂酰胆碱(PC)类氧分子产品之一,专属于甘油磷脂(glycerophospholipid)家族式。其脂肪含量酸组合具备显然的有误称性:sn-1 位:棕榈酸(16:0),达到饱和状态肌肉酸;sn-2 位:油酸(18:1, cis-Δ9),单不过剩脂质酸;头基:磷酸胆碱,强性亲水基团。这一种变了称性增添了 16:0-18:1 PC 有趣的电磁学化学式特点,使其被选为 探究神经细胞成分与工作的精典类别原子核。二、结构特征与理化性质
两亲性亲水性聚氨酯树脂的胆碱头基和疏水性聚氨酯树脂的脂肪堆积酸尾链授予原子核结构两亲形态,要在水室内环境中自装设成双原子核结构层。相活动16:0 脂链较直,易型成融洽积聚;18:1 脂链因双键有着而压弯,加强膜的流量性;POPC 的相转变成室内高温(Tm)约为 -2 °C,在生理上室内高温下正处在流入相(liquid crystalline phase),相对好虚拟大自然动物膜。双大分子层显著特点POPC 多层强度约 4–5 nm,膜的流量性、融合性及柔软性均达到蒲乳期动物界内部质膜。三、合成与制备
本身源头POPC 是哺乳期节肢动物受损细胞核中会见的磷脂之三,越发在脑公司和血浆中的含量较高。生物学获得实验报告通用的 POPC 多由有机化学合成视频拥有,可以通过抉择性酯化不良反应将棕榈酸与油酸接入使用甘油骨架,并带来磷酸胆碱头基。当今生成技术可可以提供高纯净度(>99%)和指明的立体式构型(sn-1 与 sn-2 品牌定位)。储藏水平对气温和被氧化的过敏,需要在低温制冷的效果(-20 °C 或 -80 °C)和惰性气休庇护下包存,以以防人体脂肪酸链被氧化的。
四、生物学功能
肿瘤细胞核分解成POPC 是质膜和子宫内膜厚度体统的首要化学成分最为,调节器膜的流失性与设计稳固性。犹豫其低相转型温差表,让人体细胞核在身体温差表下始终维持柔软度性。数据信号转导POPC 能作为酶反应底物,举例说明被磷脂酶 A2 (PLA2) 裂解,呈现溶血磷脂(LPC)和脂质酸,然而参与性发炎和电磁波转导。脂筏与膜域演变成POPC 在膜中常会与高密度脂蛋白、鞘脂等按份共有的作用,反应脂筏机构的成型与动态化稳定平衡。五、研究与应用领域
1. 膜生物制品学与型号膜论述POPC 是探析生态学膜经典英文的建模团伙式一个,所用于配制 单团伙式膜、双团伙式层和巨/小编织成单层囊泡(GUVs, LUVs, SUVs)。用作探析膜蛋清与脂质的之间用处、膜南北通透性、脂质相剥离还有奈米绝对误差的膜的动流体力学。2. 用量递送与脂质机制备仍然 POPC 膜在女性生理能力下极具流性和稳固性,它是 脂质机制备的至关重要主要原料。常与热量、PEG-呈现脂质等共同参与配伍,于提纯*癌制剂剂量、核酸制剂剂量(siRNA、mRNA肺炎疫苗)和另外海洋生物活力性碳原子的膜蛋白。3. 生物体生物学与计算出模拟机POPC 三层膜性能(适用面积/脂质、膜钢板厚度、分散公式)已被多方面测定法和要求化。在大分子趋势学(MD)模仿中,POPC 多层是研究分析膜核蛋白加入、脂质彼此之间意义的“金条标准”标准。4. 的疾病设计POPC 能力的变化无常与排泄消化道消化道疾病、冠脉粥样通户和精神退行性消化道消化道疾病等重视关于。在阿尔茨海默病等病症对模型中,POPC 膜被使用于探讨小麦淀粉样球蛋白对膜结构类型的影响力。六、检测与分析方法
质谱定性分析(MS)LC-MS/MS 可对 POPC 在生物体产品的样品中的份量通过酶联免疫法具体分析。核磁共振检查现象(NMR)¹H-NMR 与 ³¹P-NMR 用在深入分析磷脂的节构共同点与相活动。Xx射线与中子散射研究分析 POPC 单层膜的层厚、原子核顺序排列及相变特性。荧光显微与单团伙技术应用凭借荧光记号的 POPC,能够可以直观检查其在细胞核膜或人工膜中的分布区与情况。七、优势与局限性
主要优势与辅乳期宠物体细胞核构造的高度将近;低相形成水温,适用身体生活条件下论述;可动态平衡分离纯化人工服务脂质体与nm膜蛋白;另一个丰富的的生态学电学学基本参数和折算模拟机动态数据。片面性的只性易受阳极氧化作用,需要严保存文档;在部分检测装修标准中,集中化POPC不佳以反映落实冗杂膜的多元性;价相较高,受到限制大投资规模工农业技术应用。八、应用前景与发展方向
逐渐脂质组学、膜淀粉酶学和奈米医美的迅猛提升,16:0-18:1 PC(POPC)将在这等方面浮现更无边无际趋势:准医学检验参与 POPC 内标参与脂质组学了解,有利于察觉到病症关于脂质生物制品标志图案物。新技术食用的药物递送管理体系在 mRNA 肺炎疫苗和染色体根治各种载体中,POPC 脂质体因为本身保持良好的保持稳定量分析与微生物混溶性而被具有广泛性应用广泛。人为体细胞与人工生物学POPC 是手动合并肿瘤细胞核膜的惯用化学原料,需用于研发肿瘤细胞核常规的性命流程。跨科学使用融入nm技术设备、磁学影像及算模拟网,POPC 将仍然有所作为论述膜一些问题的“标准规范原子核”。九、结语
16:0-18:1 PC(POPC, CAS:26853-31-6)是一个具有重要生物学与研究价值的磷脂分子。其 不对称脂肪酸结构 赋予了分子独特的膜物理性质,使其成为 膜生物学、药物递送和生物物理学研究的经典材料。随着医学与材料科学的深入发展,POPC 不仅将在基础研究中继续扮演关键角色,还将在 临床诊断、准医疗和新型药物递送体系 中展现广阔的应用前景。
渭南pg电子娱乐游戏app 怪物能可以提供不同 PC(磷脂酰胆碱) 与 PE(磷脂酰酒精胺),来历靠普、纯度较高,无所谓是用以 脂质体共建、膜整治探讨,都是 治疗药物递送与工作化纳米技术颗粒物光催化原理,都能能可以提供固定的功能服务。各异的链长、过剩度和修饰语多种类型,让科研管理员工可不同實驗使用需求轻松愉快采用,轻松愉快建设高质量實驗系统。制造厂家:咸阳pg电子娱乐游戏app 海洋生物技术品牌是有限的品牌借款用途:科研工作的情况:固态/咖啡豆/水溶液产址:武汉温暖语音提示:仅作科技创新,未能采用人體科学试验!相关内容货品:18:1(n10)-16:0 PC - IsoPure,CAS:2389048-47-718:1 Lyso PC,CAS:19420-56-518:1-06:0 NBD PC,CAS:106974-05-415:0-18:1-d7-PC,CAS:2097561-16-318:1-12:0 NBD PC,CAS:190792-36-018:1(n7)-16:0 PC - IsoPure,CAS:2389048-50-218:0 Diether PC

pg电子娱乐游戏app
微信公众号
官方微信