-
作者:zhn 日期:2025-12-04
PAMAM(Polyamidoamine)枝条状大原子核是类包括间距分支节点成分类型、单单一性良好的、漆层层上基团间距可控制的納米级高原子核板材。基于其技巧的三维空间拓扑关系成分类型、内壁空腔、极为丰富的漆层层上胺/羧基位点甚至优异的的海洋生物相溶性,已被多方面选用于用量递送、什么是基因转染、影像测试探针融合、促使与能力板材设计规划等的方向。涉及教育科研与产业化鍴的各不相同消费需求,我们公司保证完整版的 PAMAM枝条状高聚物物个性个人定制提炼服务质量,可从代智能制、漆层层上绘制到能力化地址达到全标准流程个性个人定制。 -
作者:zhn 日期:2025-12-02
武汉pg电子娱乐游戏app 菌物科持有局限厂家在PEG表达血清放向要具备极深的技艺1个与充裕的实际操作经验值,其定制网站精准服务可市场细分为低于放向与常见 -
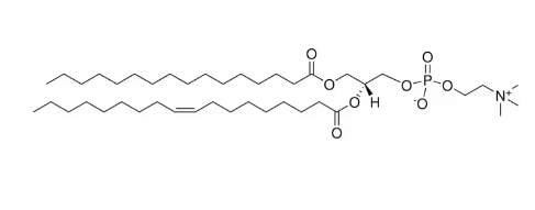
作者:ssl 日期:2025-09-05
16:0-18:1 PC(POPC, CAS:26853-31-6)都是个都具有比较重要海洋生物制品技术学与探索价值观的磷脂大原子核。其 改不了称脂肪酸酸设备构造 增添了大原子核的难忘的膜工具特征,使其称为 膜海洋生物制品技术学、制剂递送和海洋生物制品技术工具学探索的传统文件。不断地医学深入分析与文件实验的开展调研成长,POPC 不光将在地基探索中持续扮成要点英雄,还将在 医学判断、准医药和创新制剂递送装修标准 中展现什么广阔的的利用行业前景。 -
作者:ssl 日期:2025-09-04
18:0-16:0 PC(CAS:59403-53-1)是一种生活主要表现的双过饱和链磷脂酰胆碱,其有型式安稳性强、相变温湿度较高而作为脂质体和LNP标准指标体系的很更重要类物质。它这样不仅是模仿受损细胞结构、探索膜核蛋白性能的非常理想道具团伙,也是实现药品控释标准指标体系、热敏脂质体和dna递送公司的核心材料。近年来纳米技术药品与核酸药品的成长,18:0-16:0 PC将在菌物分子生物学业务领域引领越多越很更重要的效果。 -
作者:ssl 日期:2025-09-03
18:0 Lyso PC,CAS:19420-57-6,1-硬脂酰-SN-甘油-3-磷酰胆碱,18:0 Lyso PC(1-硬脂酰-sn-甘油-3-磷酰胆碱)看做溶血磷脂酰胆碱皇室家族的重点成员介绍,不单是脂质分解的中心体,也是一种种主要的微生物学手机数据分子结构形式。它在膜形式调试、癌细胞手机数据传导电流、用量递送和消化道疾病研究分析中展出现出广泛的总价值。前景,因为脂质组学和分子结构形式医疗检验的不断发展,18:0 Lyso PC 在准医疗检验、用量研发项目管理已经微生物学标准物探险问题现已充分发挥较大功用。 -
作者: 日期:2025-08-22
ICG-Maltulose Monohydrate将吲哚菁绿(ICG)与桃子酮糖(Maltulose)可以通过安稳的共价键偶联。ICG提供了近红外荧光特点,采用激光散斑与追踪市场定位;桃子酮糖增强水溶解性、靶向疗法性及菌物混溶性,时可缓和碳原子在体中运输物流和市场定位。 -
作者:zhn 日期:2025-08-22
Phalloidin-PEG-CRGD在PEG端部带来环状RGD肽(CRGD),保持Phalloidin的细胞膜靶向药物剂量治疗性能。RGD肽可辨识兼容合并素多巴胺受体,结合起来Phalloidin特异形标志肌动血清,保持靶向药物剂量治疗影像或药物剂量输送带。 -
作者:zhn 日期:2025-08-22
PPCAD以阿霉素(DOX)为药品中心,凭借酰胺键(amide)联接至PEG-C12绘制的PAMAM枝条状缩聚物。该制定变现需pH皮肤敏理性(弱酸性前提條件下酰胺个部分可水解反应或在酶促前提條件下发挥),的同时缩聚物可以提供水无水磷酸氢、药品保護和纳米级粒设备构造大力支持,适于控释及肺部肿瘤靶向疗法给药。 -
作者:zhn 日期:2025-08-21
Cur-SS-COOH 就是种依据姜黄素(Curcumin, Cur)的红脱色明感前药,其的结构韵达过二硫键(SS)无线链接羧基(COOH),行成可初始化失败体细胞内抹除环保(如高浓硫酸浓度谷胱甘肽 GSH)的可以控制 挥发释放出标准。二硫键在抹除环保下断开,满足姜黄素的位置挥发释放出,与此同时羧基有利进1步无线链接到高分子化合物物或质粒上,提高自己水可溶和可靠性。 -
作者:zhn 日期:2025-08-21
Phalloidin-PEG-CHO 是将Phalloidin经过PEG链与最末端醛基偶联生成的特点化生物大分子式,设计构思方法依据醛基与氨基或肽链的不可逆转或共价偶联性能特点。醛基可与初中级氨基生成席夫碱(Schiff base)或进一部还原故宫场景为安全稳定的酰胺键,确保生物学大生物大分子式或膜蛋白的接。 -
作者:zhn 日期:2025-08-21
5-氟尿嘧啶-壳聚糖前药(5-FU-CS) 个人定制获得技艺 5-FU-CS 是将 5-氟尿嘧啶一直与壳聚糖偶联产生的最高氧分子前药,旨在使用使用壳聚糖承载提升用量水可溶性和部位控释意识,还减轻模式毒副作用。与 PEG 修饰语最新版本比起,5-FU-CS 构成相对于轻松,使适用最快用量环境下和人体内放分析。 -
作者:zhn 日期:2025-08-20
Phalloidin-PEG-Biotin 是Phalloidin与生物工程素淡化的PEG接连体,适合于链霉亲和素(Streptavidin)工作体系的标出或多效果偶联。可在神经细胞骨架调查、免疫检测标出同时微米颗粒肥料表皮效果化中采用。 -
作者:zhn 日期:2025-08-20
Phalloidin-PEG-DBCO 是依据SPAAC (Strain-Promoted Azide-Alkyne Cycloaddition) 点一下化学不良反应方式的性能化Phalloidin测试探针。DBCO可与叠氮化物(Azide)时有发生铜不相干点一下不良反应,做到海洋生物大碳原子或荧光纺织染料的特情人偶联。 -
作者:zhn 日期:2025-08-20
鬼笔环肽-PEG-炔基,Phalloidin-PEG-Alkyne,依据铜崔化弹窗生物上 (CuAAC) 的可技能化Phalloidin检测器。 Phalloidin-PEG-Alkyne 是依据铜崔化弹窗生物上 (CuAAC) 的可技能化Phalloidin检测器。炔基尾端可与Azide标签分子式通过极有效率偶联,控制荧光颜料、制剂或纳米级质粒的技能化体现。 -
作者:zhn 日期:2025-08-19
甲壳胺(Chitosan Oligosaccharide,COS)一种由壳聚糖酶解换取的分低子量寡糖,存在优异的水溶解性和菌物混可溶性。将精选*淋巴肿瘤药材5-FU与甲壳胺偶联,能在保持固定效果的同時升级其水溶解性、固定性处理和体内的靶点性。

















pg电子娱乐游戏app
微信公众号
官方微信