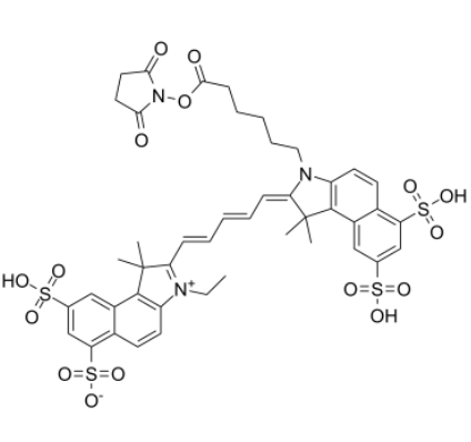
常用名 Cy5.5-N-羟基琥珀酰亚胺酯
英文名 Cy5.5-SE
CAS号 442912-55-2
分子量 1014.13000
分子式 C45H47N3O16S4
应用场景:教育科研感觉:固状/金属粉/氢氧化钠溶液上传:冷藏箱生产商:武汉pg电子娱乐游戏app
微生物科学有现公司的

Sulfo-Cy5.5-E不是种兼具强荧光基本特征的有机染色剂,一种Cy产品系列荧光有机染色剂的一个,重要用途于生态学分子结构标志和影像用途。该颜料是Sulfo-Cy5.5的另1个产动物,在其中带有另1个吸附性酯(-E)官能团,使其都可以与含氨基的大分子(如胆固醇质、抗体阳性或核酸)产生发应。其优异的的荧光特征参数使其变成标上测试探针、检侧和剖析等理论研究方向的非常重要交通工具,尤其是在动物中医药学理论研究中具备有很广的使用。应用软件邻域:海洋生物标上:因其个性化的光学反应特征,Sulfo-Cy5.5-E被普遍运用于免疫判断判断、抗体阳性标上、蛋白酶质概述、核酸判断等领域。生殖人体细胞系激光散斑:在生殖人体细胞系和组织开展激光散斑中,因其高荧光承载力和较长的反射光波波长,Sulfo-Cy5.5-E也可以打造清淅的图面,实使用于活生殖人体细胞系激光散斑。多个标出:根据其与的Cy纺织染料(如Cy3、Cy5等)的性能,Sulfo-Cy5.5-E常被在多个标出實驗,如流式组织细胞术组织细胞术、荧光共把握显微镜观察等技艺中。氧分子式物理检测:可与各种类型测试探针结合在一起在使用,应该用于氧分子式物理检测交通工具中,如PCR、ELISA等新技术。关羽我:宝鸡pg电子娱乐游戏app
微生物自动化有限大公司大公司合作经营的厂品种类分为有:原材药、可抑药物、非天然副产物、COF、MOF缩聚反应题材:三蝶烯衍微生物、金刚烷衍微生物、四苯甲烷气体衍微生物、多胺题材、多醛题材、联吡啶衍微生物、卟啉衍微生物、苯乙炔衍微生物等;可抑药物&染色剂;原材药及上面体;OLED光电技术物料缩聚反应题材:共轭苯衍微生物、咔唑、噻吩、苯并呋喃和苝/萘酐衍微生物等;聚酰亚胺题材:聚酰亚胺、二胺和二酐;有机物硅题材:缩聚反应、有保存剂、保護剂和偶联剂等;可光缩聚液晶电视机小碳原子等。相关的引荐:Alexa Fluor 488 羟胺Alexa Fluor 488 尸胺 AF488 Cadaverine2500973-94-2,Alexa Fluor 488 酰肼Alexa Fluor 488 TFP924660-14-0,AF-488(6-isomer)甲基四嗪Cy5,甲基-四嗪-花青素Cy5Sulfo-Cy7 bis-SESulfo-Cy5.5双琥铂酰亚胺酯