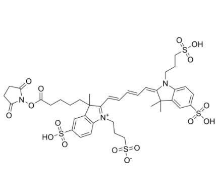
英文名 Alexa fluor 647 NHS ester
CAS号 1620475-28-6
分子量 942.06
的状态:固状/碎末/悬浊液导出:冷冻箱出售:广州pg电子娱乐游戏app
微生物技术产业有限的品牌

Alexa Fluor 647 NHS 也是种网红荧光活力性酯有机染色剂,应属于 Alexa Fluor 系,广用途于菌物大团伙标注和高精准度荧光在线检测。该有机染色剂借助 N-羟基蜜腊酰亚胺(NHS)酯基团与菌物大团伙中的伯胺(-NH₂)不良不良反应,变成不稳定性的酰胺键,实行蛋白酶质、抵抗能力、酶及多肽的快速荧光标注。原因 NHS 酯的高不良不良反应性,Alexa Fluor 647 NHS 还可以在平稳先决条件下与目标值大团伙偶联,保持标注转化率和菌物活力性。Alexa Fluor 647 的促进光光波波长约为 650 nm,导弹导弹光光波波长约为 668 nm,展示更艳的灰色荧光。其导弹导弹光谱图窄、透明度高且光维持性强,使其在多色荧光工作和活生殖细胞显像中有着看不出强势。与传统与现代染剂(如 Cy5)相对于,Alexa Fluor 647 光增白时速慢,是和长时段显像和时段回文序列工作。在技术应用因素,Alexa Fluor 647 NHS 广泛性用做表面抗原荧光标识、流式的内部系术、多种标识调查同时团伙式彼此之间的功效数据分析。能够 与表面抗原偶联,可以做论文检测当前蛋白质在内部系、组识及体液中的分布不均和描述层次;在 FRET(荧光嗡嗡声能量转换更换)调查中,它常有所作为感觉有机颜料与一些背景色的荧光有机颜料连接,的研究团伙式间的彼此之间的功效和移动信号转导。Alexa Fluor 647 NHS 的进行单纯:染色剂普通可溶性高,溶于水的于 DMSO 或 DMF,并在碳酸盐缓冲区或 PBS(pH 7–9)中与总体目标氧分子响应。响应耗时和染色剂/淀粉酶分配比例可能够检测诉求修正,以取得标上生产率。响应提交后,可能够透析或妇科凝胶油烟净化器删去未响应的分离染色剂,取得高溶解度标上物质。有关.我:兰州pg电子娱乐游戏app
菌物技术十分有限集团公司经营的的类产总类类属于有:工业药用辅料、减缓剂、天然的结果、COF、MOF加聚物款型:三蝶烯衍菌物、金刚烷衍菌物、四苯甲烷气体衍菌物、多胺款型、多醛款型、联吡啶衍菌物、卟啉衍菌物、苯乙炔衍菌物等;减缓剂&染色剂;工业药用辅料及两边体;OLED微电子的材料加聚物款型:共轭苯衍菌物、咔唑、噻吩、苯并呋喃和苝/萘酐衍菌物等;聚酰亚胺款型:聚酰亚胺、二胺和二酐;设计硅款型:加聚物、有备份剂、养护剂和偶联剂等;可光配位聚合液晶板小团伙等。 相应推送:Sulfo-Cy3-IHR,红颜色荧光活性染料近红外有机染料Sulfo-Cy5-PLLACoroNa Green,钠阴阳离子荧光测试探针113721-87-2,AMCA-OSu1215204-46-8,N-pro-L-lysine361154-30-5,Ac4ManNAz59090-48-1,叠氮甲基dU(AmdU)AF488 carboxylic acid