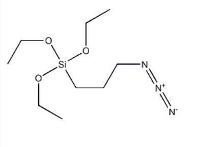
3-(Azidopropyl)triethoxysilane,83315-69-9是一种功能性硅烷试剂
英语翻译名号: 3-(azidopropyl)triethoxysilane英语名品牌: 3-(叠氮基丙基)三乙氧基硅烷MF: C9H21N3O3SiMW: 247.36684CAS: 83315-69-9



pg电子娱乐游戏app
微信公众号
官方微信