
甲氧基(-OCH₃)
甲氧基基团是一种常见的非极性基团,能够增加PEG的溶解性并稳定其在水中的分布。甲氧基的引入能够减少PEG分子的免疫反应,并提高其在生物体系中的生物相容性。通过甲氧基的稳定性,Methoxy PEG-DMG能够在体内长时间稳定存在,减少免疫清除。
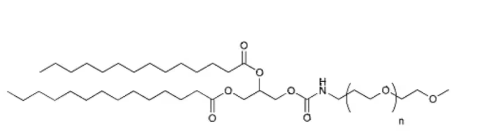
二甲基甘氨酸(DMG)
DMG是一种含氮的小分子,它通过与PEG的共价结合提供了功能化的亲和力。二甲基甘氨酸不仅能够促进与生物分子或细胞的相互作用,而且在药物递送系统中具有重要作用。DMG基团通过其氨基或其他化学反应性,能够促进药物与细胞膜或其他生物大分子的结合。
PEG(聚乙二醇)
聚乙二醇(PEG)作为Methoxy PEG-DMG的主体部分,提供了良好的水溶性、低免疫原性和高生物相容性。PEG能够增强分子的稳定性,减少其在体内的清除速度,延长药物或治疗分子在体内的循环时间,进而提高治疗效果。
合成
Methoxy PEG-DMG通常通过化学方法将甲氧基(-OCH₃)和二甲基甘氨酸(DMG)连接到PEG链的末端。这一过程确保了分子的功能性和稳定性,能够在药物递送、分子交联和细胞标记等研究中发挥作用。
药物递送系统
Methoxy PEG-DMG广泛用于药物递送系统的开发。由于PEG部分的存在,Methoxy PEG-DMG可以显著提高药物的水溶性、稳定性,并减少其免疫反应。同时,DMG基团可以帮助药物分子与特定受体或细胞表面结合,增强药物的靶向性。通过这些特性,Methoxy PEG-DMG用于提高药物的生物利用度和减少副作用。
分子标记与偶联
Methoxy PEG-DMG可用于生物分子标记和偶联。通过其DMG基团,Methoxy PEG-DMG能够与目标分子进行反应,形成稳定的共价结合。它可以与蛋白质、抗体、核酸等生物分子偶联,用于分子探针、免疫标记、分子成像等研究中。
细胞标记与成像
在细胞标记和成像中,Methoxy PEG-DMG通过与细胞表面的受体或蛋白质结合,能够提供稳定的标记信号。DMG基团为该过程提供了特定的亲和力,从而帮助研究人员追踪细胞和分子在生物体系中的分布和相互作用。
生物分子交联
Methoxy PEG-DMG还可用于生物分子的交联。通过与含氨基或其他亲核基团的分子发生反应,Methoxy PEG-DMG可以高效地将不同的生物分子交联,进行蛋白质-蛋白质、抗体-抗原等分子间的相互作用研究。


pg电子娱乐游戏app
微信公众号
官方微信