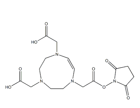
中文名称: NOTA-NHS ESTER
MF: C16H24N4O8
MW: 400.38
CAS: 1338231-09-6
作用:成果转化睡眠状态:固体颗粒/咖啡豆/盐溶液保存图片:冷冻冷藏供货:郑州pg电子娱乐游戏app
生物技术科技产业现有机构

NOTA-蜜腊酰亚胺酯也是种的功能键化的多齿螯合配体研究物,融合了 NOTA(1,4,7-三氮杂环[2.2.1]辛烷)骨架的高材料化合物螯合作用和终端 N-羟基蜜腊酰亚胺(NHS)酯的高检查是否反响亲水性。其设置效果举例说明打造一款可以控制、有效率的检查是否偶联公司,使用在将螯合配体与几种含氨基的分子结构、整合物或纳米技术材料通过共价融合,关键在于建立多的功能键组合制度。NOTA 主导机构还都具有环状三氮杂环骨架,也能进行五个配位位点对金属材料材料铁正离子进行动态平衡螯合,出现程度动态平衡的匹配物。该基本特性在材料开发和原子核紧密联系中还都具有有明显优缺点,这是因为它能在繁复自然环境中提高金属材料材料铁正离子的固定住,同一尽量避免非活性聊天紧密联系。NOTA 骨架的 刚性轨道与发展发展空间构型经途seo,使其在偶联表现中也能提高机构详细完整,并成下端官能团出示人生理想的发展发展空间位阻,确定偶联利用率和有机物均一性。NHS 酯官能团是 NOTA-蜜腊酰亚胺酯的关键所在电学活性氧部位零件,就可以在清新條件下与氨基基团时有发生极有效率共价不起作用,自动生成平稳的酰胺键。该不起作用兼备最快、高决定性和高劳动生产率等亮点,适用作于多种多样电学模式,属于水相减慢液、导电性可挥发液体或混合法液体模式。这类性能特点使 NOTA-NHS Ester 在100氧分子装饰、相关材料表明特点化和多特点组合模式融合中兼备常见利用前景。电化学稳定可靠性部分,NOTA-琥铂酰亚胺酯在变干、低湿和遮光條件下可长久保存而挺高可溶性。用时,可将其分解于 DMSO、DMF 或非常合适缓存数据液中参与偶联体现。其结构方案方案权衡亲水聚氨酯与疏水聚氨酯布局,使碳原子在稀硫酸中显现出稳定的散落性和低自积聚非常倾向,进而挺高偶联体现的均一性和质量。想关推薦:NOTA-琥铂酰亚胺酯,1338231-09-6NODA-GA-NHS ester,1407166-70-4MB 594 N3,MB 594叠氮化物二苯基环辛炔-聚乙二醇-聚赖氨酸 DBCO-PEG-PLLBenzene Boronic Acid-PEG-BiotinMB 660R Alkyne,甲基蓝660R 炔烃BOC-PEG2K-COOH,叔丁氧羰基-PEG-羧基Biotin-PEG-N3,生态学素-PEG-叠氮Tri-GalNAc(OAc)3-五氟苯脂Tri-GalNAc-Azide,2925590-71-0