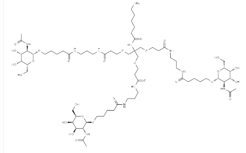
常用名 TRI-GALNAC-六胺
英文名 tri-GalNAc-hexamine
CAS号 1646198-77-7
大分子量 1528.73
硬度 1.34±0.1 g/cm3(Predicted)
熔点 1718.5±65.0 °C(Predicted)
分子式 C67H121N11O28

三臂半乳糖-己胺(CAS: 1646198-77-7)有的是种全自动模块寡糖衍生产品物,由十二分支半乳糖(Gal)单元式和未端氨基(–NH₂)官能团主成。其氧团伙结构装修设计目标值源于可以提供某个效率高、可以操控的的化学反应偶联平台网站,用以将多糖设计与高氧团伙结构链、nm文件或特点模块氧团伙结构共价融入,推动全自动模块挽回保障体系引入。三臂半乳糖象限打造超高控制的氧团伙组成部分判断组成部分,各个树状节点末段都体现半乳糖官能团,使氧团伙组成部分在偶联管理体系时能够实现了高比热容、向下功能性化。该氧团伙组成部分组成部分的树状节点设汁强化了余地可及性,确保末段氨基或另外官能团在催化反响时能够自卫权相当的目标反响位点,因此增强偶联质量和货物均一性。尾端氨基(–NH₂)官能团为三臂半乳糖-己胺提高了较高渗透性的药剂学反应迟钝位点,可与很多渗透性官能团转变成保持稳定共价键,如羧基(–COOH)、NHS 酯、异氰酸酯或醛基等。本身官能化营销策略使大分子式才可以效率融合到聚合反应物链、微米文件或多功能工具键大分子式品台中,考虑很复杂风险管理体系对药剂学偶联的多元化化消费需求。三臂半乳糖-己胺在检查是否稳定性和可靠性分析性管理方面现象优良,可在皮肤干燥、低湿和闭光条件下持续会自动储存,稳定末段氨基官能团的抗逆性。选用时可可溶高朝,溶于水的于水、缓解液或电性有机肥料石油醚中,进行操作高效率的偶联想法或智能型表复合型系统实现。原子核设计的概念衡量亲水溶性和区域空间柔性fpc线路板,确保偶联想法均一高朝、物质可以操控的性强。有关的比较适合:
Perfect 2000 DNA Ladder AF350 Tyramide Conjugates,AF350 酪胺偶联物 AF405 Tyramide Conjugates CF 594 TSA Conjugates,CF 594 酪酰胺 CF620R TSA Conjugates,CF 620R 酪酰胺偶联物 Cy 3 Tyramide Conjugates,花青染色剂Cy3-酪酰胺 Cy 5 Tyramide Conjugates,花青有机染料Cy3-酪酰胺 CF488A Tyramide Conjugates CF 532 TSA Conjugates Perfect 5000 DNA Ladder CF405L TSA Conjugates,CF405L-酪胺偶联物 Quasar 670 phosphoramidite,Quasar 670 亚磷酰胺