Biotin-C5-Amine,115416-38-1,生物素-C5-氨基的介绍
常用名 生物素-C5-胺
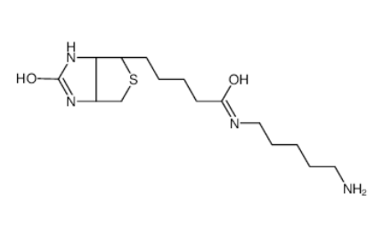
英文名 5-(Biotinamido)pentylamine
CAS号 115416-38-1
分子量 328.47300
密度计算 1.131g/cm3
水的沸点 652ºC at 760mmHg
氧化学式 C15H28N4O2S
闪点 348.1ºC
情况下:混合物/金属粉/硫酸铜溶液维持:冰箱供应信息:银川pg电子娱乐游戏app 生态学科技局限总部局限总部
Biotin-C5-Amine(生物素-C5-氨基)是一种在天然生物素结构基础上通过五碳烷基链(C5 linker)延长,并在末端引入伯胺基团而形成的生物素衍生物。该分子兼具 生物素–链霉亲和素体系的超高亲和性(Kd≈10⁻¹⁴–10⁻¹⁵ M)和 氨基反应位点的可修饰性,是生物偶联、探针构建、抗体标记、表面修饰等实验中的重要标记试剂。其 CAS 号为 115416-38-1,在化学、生物学、纳米技术与诊断学研究中广泛使用。
微生物学素也是种先天维他命(维他命 H / B7),具备着四氢噻吩环和戊酸侧链机构,是可以被链霉亲和素(Streptavidin)和亲和素(Avidin)以高亲和区分。Biotin-C5-Amine 使用了微生物学素的完整性区分机构,因是可以与链霉亲和素牢固结合实际,适用于 ELISA、免役印痕、神经细胞脱色、原位杂交育种、界面调整化和表现测序体系中等多实践方法。比较于无 linker 的生物制品工程体素,C5(五碳链)加入了附加的挠性fpc线路板与的空间区域距离,使生物制品工程体素在偶联后更会被链霉亲和素判断,增进搭配利用率,变少的空间区域位阻。这一點对待在抗体阳性、淀粉酶、多肽或核酸等大原子核上装设生物制品工程体素甚为首要,可有效增进标志利用率与搭配的可及性。除此以外,五碳链大小作为合适的挠性fpc线路板,不因为为链过短而后果搭配,也并不因为为链使用过久而带来了过快不住判定,是径典且选用性强的 linker 大小。未端伯胺(–NH₂)为灵活性官能团,可与许多种菌物原子核偶联,具有:碱化羧酸(EDC/NHS)、碱化酯(如 NHS ester)、异硫氰酸酯、醛基(经恢复胺化)等,关键在于将菌物素运用到蛋清质、免疫面抗原、DNA、RNA、单糖及纳米技术建筑材料外表。回收利用该胺基,研究分析者可简单整合菌物素化免疫面抗原、外表菌物素化磁珠、菌物素化寡核苷酸、菌物素表达酶或配体等,是實驗室常常用的实用标记符号组件。有关系安利:Sulfo-CY7-COOH,水阴离子型羧基化CY7Sulfo-CY5-AlkyneSulfo-CY5-sh,水溶解性巯基-CY5Sulfo-CY5-N3,水可溶性标出花青素CY5和叠氮磺酸基-CY5-马来酰亚胺,Sulfo-CY5-MALSulfo-CY5-NHS水可溶性CY5-NH2水无水磷酸氢Sulfo-CY5-COOHCY7-Alkyne,荧光活性染料CY7-炔基

pg电子娱乐游戏app
微信公众号
官方微信