产品名称:TPP-PEG-TK-DSPE;脂质PEG试剂
别名:DSPE-TK-PEG3400-TPP DSPE-TK-PEG5000-TPP TPP-PEG3400-TK-DSPE
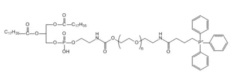
DSPE-PEG-TPP架构式:

PEG发展物的了解:PEG具象化物易溶水、无水乙醇和大量某些有机物强酸强碱。 水蒸气低平,对热、酸、碱稳定性高。 与大量化学工业品不起来效应。 有较好的吸水性、滑润性、结合性。 剧毒,无激发。溶解度:≥95%运用:现配现配感觉:由PEG原子量的不一样,展示的类产品感觉多见于药液或乳白色状粉状存贮经济条件:-20°冷冻熟食保持,惰性汽体维护大分子量: 350、550、750、1000、2000、3400、5000、10000溶水性:熔化分解于大大部份可挥发石油醚,如:DCM、DMF、DMSO、THF等等等等。在水有最好的熔化分解性包装机:小瓶制造商:成都pg电子娱乐游戏app
微生物自动化非常有限新公司加工地此:浙江温磬信息提示:仅适适用范围科学研究上海pg电子娱乐游戏app
海洋生物技术限制集团公司厂家直销高端定制获得磷脂、PEG磷脂、两亲嵌段共聚物,磁块納米颗粒物,納米金,荧光量子点及干枝状合成树脂物、PEG衍海洋生物……设备。想关好产品推存:4-arm-PEG-DOPE MW:10008-arm-PEG3.4K-DOPE8-arm-PEG-DOPE MW:10KPentaglycine-PEG3400-DSPEPLGA-mPEG2000DSPE-PEG MW:3400