至于Cyanine5 NHS ester(Cy5 N-羟基蜜腊酰亚胺酯)你介绍哪些?
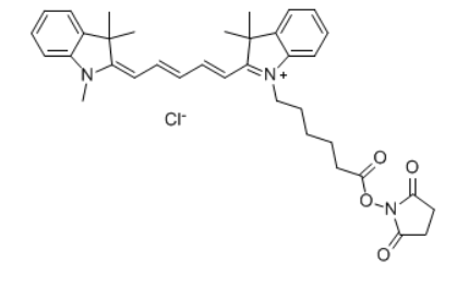
类产商品名字称:Cyanine5 NHS ester, Cy5 N-羟基虎珀酰亚胺酯
品牌数据:
相对性状:深蓝粉沫
原子核量:616.19
CAS号:1032678-42-4,350686-88-3
大分子结构:C36H42ClN3O4
抑制/发射波长:646/662nm
溶解完性:在正负(DMSO、DMF)和氯化(DCM、氯仿)有机溶剂中溶解性好,在水中溶解度低。
水平把握:含量>95%
吸收环境:在-20°C中12个月。
搬家:高温下历时3周。避免长时间接触光线。变干。
类产品描术:
CY5 NHS ester是采用标记符号图片多肽、蛋清和寡核苷酸的氨基基团的活力染色剂。在标记符号图片反响中该染色剂要求小量的充分共溶液(如DMF,DMSO)。对可可溶蛋清、各类形形色色的多肽和寡核苷酸来说 Cy5 NHS ester(水可溶Cy5 NHS ester染色剂),会因为想一想不要求充分溶液助溶,另一方面兼具和荧光染色剂类似于的物理性质。
CY5 NHS ester是于标出多肽、核核蛋白和寡核苷酸的氨基基团的吸附性颜料。在标出影响中该颜料要小量的充分共容剂(如DMF,DMSO)。相对于可可溶性核核蛋白、各种多种的多种的多肽和寡核苷酸一般说来,
下述化学活化荧光活性染料和其他的大分子量偶连的产品设备,Cyanine亲水性荧光颜料也可以涵盖脂可溶的和水可溶的,脂可溶的有Cyanine5 NHS ester,水可溶的是带磺酸根的 比方说:Sulfo Cyanine5-NHS ester品牌。型式式给出:

1032678-42-4 Cy5 NHS酯 Cyanine5 NHS ester节构
近红外荧光纺织染料
Near IR Dyes增加和火箭发射光谱和的颜色图:
相关的设备:
花氰有机染料Cy7
进口商吲哚菁绿活性脂
Cy5磺酸基-Cy5羧酸 水无水磷酸氢荧光颜料
CY7.5
Cy3磺酸基-Cy3羧酸
Cyanine3 NHS esterCy3蜜腊酰亚胺酯;Cy3 NHS酯
Cy2 carboxylic acid,Cy5 N-羟基蜜腊酰亚胺酯
Cyanine5.5 NHS ester,Cy5.5 N-羟基蜜腊酰亚胺酯
Cyanine7 NHS ester
Sulfo-Cyanine3 NHS ester/Sulfo-Cy3 NHS ester荧光有机染料
Sulfo-Cy5 NHS ester磺酸基CY5-特异性酯
pg电子娱乐游戏app 网编ssl 2021.11.1

pg电子娱乐游戏app
微信公众号
官方微信