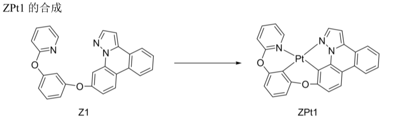
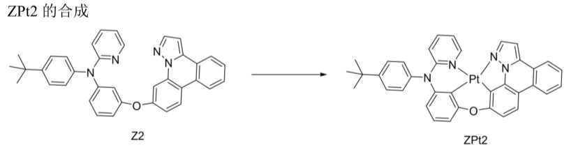
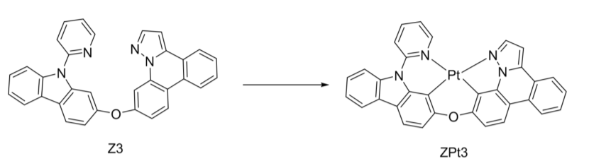
三个Pt(Ⅱ)配合物:以Pt(N^C^C^N)为配位方式的四齿配合物ZPt1,ZPt2和ZPt3的设计与合成路线
发掘最新科技不稳、**的发光字食材,再构思与之相相配的各功用层食材(组织形式食材、正电荷进入及无线传输食材各类工业食材等)是当今OLED食材新产品研发时候中的可用工作思路。
科研人员设计合成了以Pt(N^C^C^N)为配位方式的四齿配合物ZPt1,ZPt2和ZPt3。




基于配合物ZPt1,ZPt2和ZPt3的OLED在蓝色至黄绿色的光谱区表现出强烈的电致发光。
对于这3个Pt(Ⅱ)搭配物的OLED元件都授予了较高的元件工作使用率。这其中ZPt1的元件工作使用率**,其**瞬时电流量工作使用率(CE),工作转化率工作使用率(PE)和EQE各分为为58.0 cd A~(-1),51.6 lm W~(-1)和16.4%,同一时间元件的开起端电压不大于3.8 V。必玩一提的是,其它的原材料均主要表现出了尽量的光谱分析分析平衡性,不一样的瞬时电流量密度单位下的电致发亮光谱分析分析最基本持续相一致。



pg电子娱乐游戏app
微信公众号
官方微信