FA-PEG-腙键-DOX;Folicacid-PEG-hyd-DOX;阿霉素-聚乙二醇-叶酸腙键连接物的制备方法
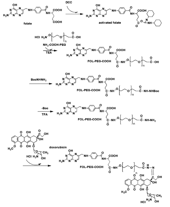
FA-PEG-腙键-DOXFA-PEG-hyd-DOXDOX-PEG-孕妇叶酸腙键对接物。阿霉素构成处理的布位基本汇集在13位的羰基和3'位的氨基。中仅,能够将13位的羰基与有差异原子的酰肼基团(表达基团)对接,衣服缩水化学反应出现腙键对接物,腙键在一般的中性环保下较安全稳定,在偏酸的环保下可裂表达拉出阿霉素原药。**神经细胞植物生长分解代谢关注,四周pH值很深不低于正常的组织安排结构,之所以腙键的形成了可树立效果酸敏效果,兼有**靶点的效果。PEG能减缓**快速清理的传输率,不断扩大**的半衰期,扩大抗****在**器官的蓄积,转而树立效果**组织安排结构唯一被动靶点的效果。DOX-PEG-孕妇叶酸片片片腙键接物的备制策略:将孕妇叶酸片片片顺利通过DCC/NHS崔化剂的作用与HOOC-PEG-NH2接收获HOOC-PEG-FA,HOOC-PEG-孕妇叶酸片片片与叔丁基氧羰肼BOC-hyd在DCC/NHS的崔化剂的作用下不良反应收获FA-PEG-hyd-BOC,脱去BOC防护基团收获FA-PEG-hyd;申请加入DOX,在三氟乙酸的的存在下得了DOX-PEG-孕妇叶酸片片片腙键接物DOX-hyd-PEG-FA。
西安pg电子娱乐游戏app 生物提供酶HRP,荧光FITC,Biotin、Cy3、Cy5、Cy7、罗丹明等荧光物质标记蛋白,标记位置是氨基,标记的蛋白有:牛血红蛋白、胶原蛋白、链霉亲和素、大鼠免疫球蛋白、牛胎球蛋白、人转铁蛋白、胰岛素、重组蛋白G等几十种蛋白,提供检测图谱。
西安pg电子娱乐游戏app 生物提供相关产品:
靶向治疗肽nm金棒载入四介铂DOX-PLL(DMA)-FAACEP的肾靶点性PEG体现藤黄酸N4-烷氧羰基修饰语5-FU环状11肽修饰语环孢菌素FAPα酶表达GEMN-酰氧甲基延伸物改良5-FU

pg电子娱乐游戏app
微信公众号
官方微信