Cyclo(-RGDfK),500577-51-5是一种环状肽
国外英文称呼: Cyclo (-RGDfK) 2,2,2-Trifluoroacetic acid繁体中文种类: Cyclo (-RGDfK) 2,2,2-Trifluoroacetic acidMF: C29H42F3N9O9MW: 717.6938896CAS: 500577-51-5

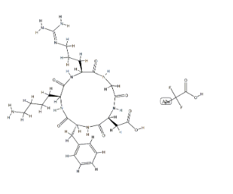
化学结构与性质
Cyclo(-RGDfK) 的环状形式使其在与整理素多巴胺受体结合在一起时具更好的稳定可靠性和选购性。该肽的团伙量约为 717.69 Da,具较高的亲水溶性和生物体相融性。合成方法
Cyclo(-RGDfK) 的镶嵌通畅应用固相肽镶嵌方法,方法下面的:- 在固相质粒上自动合成平滑肽链 RGDfK。
- 确认环化影响将肽链两端联接形成了环状成分。
- 取除保护英文基团,纯化有 Cyclo(-RGDfK)。
应用领域
Cyclo(-RGDfK) 基本用作如下探讨领域行业:整合素受体研究:作为 αvβ3 整合素的特异性抑制剂,Cyclo(-RGDfK) 可用于研究整合素在细胞粘附、迁移和信号转导中的作用。
肿瘤研究:由于 αvβ3 整合素在肿瘤血管生成中的重要作用,Cyclo(-RGDfK) 可用于研究肿瘤微环境中的血管生成过程。
药物筛选:Cyclo(-RGDfK) 可作为筛选整合素受体拮抗剂的工具分子,用于开发新的*肿瘤药物。


pg电子娱乐游戏app
微信公众号
官方微信